Supersymmetry aka SUSY, in a narrow sense, is an extension of the Standard Model, that, like the Standard Model does not include gravity or gravitons or even gravitinos. The extension of SUSY that includes gravitons and gravitinos is call Supergravity aka SUGRA.
SUSY was formulated because if certain symmetries are present between fermions and bosons in variants of the Standard Model this has a variety of theoretically attractive features.
"Virtual SUSY" approaches.
But, there are hints that the Standard Model may actually have the balance between fermions and bosons that SUSY creates crudely and directly, already in a more subtle way.
For example, there are twelve spin 1/2 fermions (six quarks, three charged leptons and three neutrinos) and twelve spin-1 bosons (the photon, W+, W-, Z and eight gluons) in the Standard Model, both of which seem to be related in a fairly balanced way to the spin-0 Higgs boson mass (which might not need to participate in the fermion-boson symmetry). Similarly, I've discussed in a previous post a formula in which the Standard Model fermion masses and Standard Model boson masses seem to contribute almost equally to the Higgs boson mass. And, the "hierarchy problem" which looks at the incredible balancing of huge opposing contributions to the Higgs boson mass that balance out at a tiny electroweak scale value, might seem less unnatural if there are hidden relationships between those masses that relationships like extended versions of Koide's formula suggest.
A more sophisticated variation on this approach looks at Standard Model composite particles called diquarks and mesons as particles that serve the theoretical purposes that superpartners do in a supersymmetry theory.
These approaches are increasingly attractive because a number of the motivations for canonical supersymmetry in which each Standard Model fermion and lepton has a superpartner counterpart are being undermined. No superpartners or extra Higgs bosons have been found, the Higgs boson mass and a variety of other new discoveries narrow the SUSY parameter space to "unnatural" choices of parameters, unitarity doesn't break down in the Standard Model up to the GUT scale with the current Higgs boson mass, core SUSY dark matter candidates are increasingly disfavored (e.g. by the LUX experiment), neutrinoless double beta decay constraints and proton decay constraints are tightening, and so on. None of these absolutely rules out some kind of SUSY which has enough moving parts to keep it consistent with experiment for the foreseeable future, but it does take the gleam off it as an attractive theory and favors a closer look at within the Standard Model relationships that can serve the purposes that it was designed to address.
SUGRA-SUSY=Gravitinos
All of this said, even if SUSY isn't necessary because relationships within the Standard Model serve the same purposes, none of this directly addresses the SUSY add on component of Supergravity which adds a graviton and gravitino to the SUSY particle zoo.
The massless spin-2 graviton is by far the hypothetical particle about which there is the most consensus in particle physics. If there is a quantum gravity of some kind that involves a force carrying boson for gravity of the kind that there is for the other three fundamental forces of the Standard Model, there ought to be a graviton with these properties.
But, it isn't inconceivable that while the other sparticles are unnecessary in physics, that the gravitino, which provides fermion-boson alance in the gravitional sector akin to that in the sector of the other three fundamental forces, could be necessary. A spin-3/2 particle of the right mass could be a stable or very slowly decaying dark matter candidate, even if the other SUSY particles either don't exist, or only exist at very high energies and are all unstable due to a lack of R-parity conservation. Particularly in the absence of other sparticles, theoretical limitations on gravitino mass are not great, so a sweet spot like 2 keV-3 keV is not ruled out. The fact that the SUGRA gravitino comes in just one generation unlike other fermions, and that a gravitino might not be discernable in W and Z boson decays due to conservation of spin, makes it quite attractive as a dark matter candidate even without the remaining SUSY baggage that hatched its existence.
It would also be somewhat reassuring if there were some spin-3/2 fundamental particle in nature, as there are fundamental particles of spins 0, 1/2, 1 and (assuming the graviton exists) 2, but not otherwise of spin-3/2 (there are spin-3/2 baryons, however, which could stand in for a gravitino in a "virtual SUSY" scenario of the kinds discussed above, but wouldn't provide a dark matter candidate, as none of them are even remotely stable) .
Current LHC boundaries on gravitino mass are not a great fit for dark matter. But, all of those boundaries are model dependent and derive from limitations on other sparticle masses that are excluded by the LHC which are related to gravitino mass in minimial SUGRA models that extend minimal SUSY models.
Thursday, October 31, 2013
Wednesday, October 30, 2013
A Long Data Set For Korean Marriage Migration
A new paper traces marriage based migration in Korea using a data set derived from a continuous 750 years of marriage records. Notably, the patterns that emerge are starkly different from comparable data in the Czech Republic, suggesting that a simple assumption that marriage based migration follows universal patterns is false. Alas, it is quite challenging to sum up and describe the Korean data set without resort to quite technical terminology and unfamiliar concepts, although I may attempt this on another day.
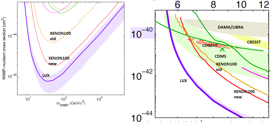
New Direct Detection Limits On Dark Matter From LUX
The vertical axis is cross-section of interaction, the horizontal axis is mass in GeV/c^2.
LUX pretty definitively rules out the possibility, hinted at by several dark matter experiments, of a dark matter particle in the 5 – 20 GeV/c² mass range. While XENON100 seemed to contradict this possibility already, it didn’t do so by a huge factor, so there were questions raised as to whether their result was convincing. But the sort of ~10 GeV/c² dark matter that people were talking about is ruled out by LUX by such a large factor that finding ways around their result seems nigh impossible. . . . by 2015 their results should improve by another factor of 5 or so.
From here (some parenthetical matter omitted). Lubos concurs with Matt Strassler's analysis above. He states:
The exclusion and the agreement with the background expectations [in the LUX experiment] is spectacular (no phantom events appear in their data at all) and I have no doubts that all the "Yes signals" [in other direct dark matter detection experiments] are due to some misunderstood background. This result hasn't excluded all meaningful models of dark matter yet but upgrades of this experiment are able to get to the region where the cross sections start to become unnaturally small.
Physics blogger Jester is also convinced.
Direct dark matter detection experiments already ruled out heavier dark matter particles up to about 1000 GeV/c^2.
Analysis
This result confirms indirect astronomy inferences that rule out WIMP dark matter as heavy as 5 GeV or more, i.e. Cold Dark Matter, while not ruling out profoundly lighter "Warm Dark Matter" particles of ca. 2 keV (each of which would be about 2,500,000 times lighter).
The exclusion ranges rule out cross-sections of interactions comparable to those of neutrinos, (also here) which would be an a priori expectation for a weakly interacting dark matter particle.
Of course, the theoretical extreme of "collisionless" dark matter would be impossible to detect, by definition, in an experiment like LUX. Even an almost collisionless dark matter particle like a "sterile neutrino" which does not interact via anything other than gravity and Fermi contact interactions, would likewise have such a tiny cross section of interaction that this kind of experiment could probably not detect these particles.
This exclusion also highly constrains the mass of any lightest or next to lightest superpartner in a supersymmetry theory that could be a dark matter candidate, effectively closing a significant share of SUSY parameter space. The LHC rules out light superpartners up to the 100s or 1000s of GeVs. LUX rules out SUSY WIMPs of 5 GeV to about 1000 GeV. SUSY models with, e.g., a stable (or nearly stable) very light gravitino, in which all other superpartners are very heavy, are increasingly hard to construct, particularly if they are at all "natural."
We have long known that "hot dark matter" with particles of mass on the order of 1 eV or less, are excluded by astronomy data. Thus, dark matter has to be heavier than the known neutrinos. Taken together with this direct detection exclusion, the range of permissible masses for dark matter particles, if they exist, has to be of the same order of magnitude as already known fundamental fermions (other than the top quark) and the known hadrons - probably at the very low end of this range.
Signal At 140 GeV Was Flawed Analysis and Random Chance
In March 2011, the CDF experiment published data tending to show at high statistical significance a signal of a particle of about 140 GeV other than the Higgs boson in W boson-W boson (i.e. diboson) decays at their collider.
This seemed to provide possible high energy physics corroboration of the 135 GeV "Fermi line" seen in the Fermi telescope experiment in 2010 (also somewhat doubtful at 2.2 sigma as of November 2012, before a rigorous look elsewhere effect, but touted by some as a signal of dark matter annihilation).
Now, a new study of ZZ decays, more data, and the discovery of two separate analysis flaws in the previous study that combined with each other in an unexpected way, have shown that there is no new particle with a mass of 140 GeV in the CDF data after all.
Once again, the boring old Standard Model prevails.
Footnote
In similar news, the maximum size of the electron dipole moment, which is expected to be tiny or zero in the Standard Model, but much higher in many preon models of the electron where it is composite, has been further constrained by experiment:
This seemed to provide possible high energy physics corroboration of the 135 GeV "Fermi line" seen in the Fermi telescope experiment in 2010 (also somewhat doubtful at 2.2 sigma as of November 2012, before a rigorous look elsewhere effect, but touted by some as a signal of dark matter annihilation).
Now, a new study of ZZ decays, more data, and the discovery of two separate analysis flaws in the previous study that combined with each other in an unexpected way, have shown that there is no new particle with a mass of 140 GeV in the CDF data after all.
Once again, the boring old Standard Model prevails.
Footnote
In similar news, the maximum size of the electron dipole moment, which is expected to be tiny or zero in the Standard Model, but much higher in many preon models of the electron where it is composite, has been further constrained by experiment:
A group of atomic physicists, called the ACME collaboration, has performed the best search so far for the electric dipole moment (EDM) of the electron. Unfortunately they didn’t find the EDM, but the limit
|de| < 8.7 10-29 e cm is 12 times stronger than the previous one. While this is still a billion times larger than what is expected in the Standard Model of particle physics . . . there are various types of as-yet unknown particles and forces that could easily produce a much larger electron EDM, through new violations of T symmetry (or, almost equivalently, CP symmetry). These effects could have been large enough to have been discovered by this experiment, so those types of possible phenomena are now more constrained than before. Fortunately, there’s more to look forward to; the method these folks are using can eventually be improved by another factor of 10 or so, meaning that a discovery using this technique is still possible.
Thursday, October 24, 2013
Warm Dark Matter Still Works, But What Is It?
Increasingly overwhelming evidence from independent analysis of multiple, independent sets of astronomy data, by a substantial community of physicists, points to warm dark matter, with a mass that can be fit to a specific mass with considerable precision in model dependent indirect ways based on a good fit abundant data sets such as galactic rotation curves to a little bit more than 2 keV of mass, as the best fit solution to dark matter phenomena observed by astronomers in a non-baryonic dark matter particle paradigm.
Properties
Warm dark matter models work best with a very simple single fermionic dark matter particle type (i.e. spin 1/2, 3/2, 5/2 etc.) that interacts only via gravity, rather than mixed dark matter (at least in the current era), or a self-interacting dark matter species, although it isn't clear to me that one couldn't have like the other fermions, three generations of warm dark matter particles, only one of which is stable for more than a fraction of a second.
Precision electroweak high energy physics data from particle accelerators strongly disfavor the possibility that such a particle can be produced in the decay of W bosons (ca. 80 GeV) or Z bosons (90 GeV) and are on the verge of strongly disfavoring it is a possible decay product of a the Higgs boson (ca. 126 GeV). Thus, it is highly unlike that this particle interacts via the nuclear weak force. In these respect, warm dark matter particles would differ from every single other kind of massive particle (fermion or boson, composite or fundamental) in the Standard Model of Particle Physics.
Neither interactions via standard model electromagnetic interactions or nuclear strong force interactions are favored either.
It isn't at all obvious how one would from a practical perspective directly detect a particle with such a low cross-section of interation (virtually none except for Fermi contact forces that flow from the observation that two fermions can't be in the same place at the same time).
Warm Dark Matter requires beyond the Standard Model Physics
The warm dark matter mass favored by astronomy observations of about 2000 eV is far in excess of the experimentally favored masses of the known three neutrino mass states in the Standard Model, which are all in the vicinity of a range from 0.001 to 0.050 eV. And, they are far lighter than the lightest known fundamental fermion other than a neutrino, the electron which has a rest mass of about 510,000,000 eV. The lighest quarks (up and down) have masses similar in order of magnitude to the electron. All known and predicted composite particles in the Standard Model of Particle Physics are much heavier (the lightest is more than 100,000,000 eV in rest mass).
The Standard Model has no mechanism that would produce warm dark matter particles, and while one would describe them as "right handed neutrinos", the less presumptuous "sterile neutrino" description of these particles is a better fit as it doesn't imply that it is necessary part of the set of three generations each of four kinds of fermions of the Standard Model.
While it is trivial to use lamda CDM model constants to determine precisely how many such particles exist in the universe at that mass, this part of leptogenesis is strictly beyond the Standard Model physics.
Where could WDM fit in a BSM theory? Some conjectures.
I am rather inclined to see as promising ideas such as graviweak unification that seek a source for a fundamental warm dark matter particle in the gravitational side of a Theory of Everything, rather than the GUT side of a theory of everything (assuming that a GUT can be coaxed out of the Standard Model of Particle Physics).
For example, the notion of a spin-3/2 WDM counterpart to the spin-2 graviton is an attractive one with the anomalous spin both filling a gap in the roster of fundamental particles of the spin, and providing a supersymmetry-like counterpart to the graviton (the true spin-3/2 SUSY gravitino is basically excluded by LHC data, however, as are sterile neutrinos produced by active-sterile neutrino mixing), while possibly explaining why it cannot be produced (or at least detected) in decays of spin-1 particles like the W and Z, or spin-0 particles like the Higgs boson, while leaving open the potential for phenomenologically invisible weak force interactions of this particle.
In a simple sterile neutrino singlet model one might imagine it being produced in interactions between a high energy spin-2 graviton and a photon or Z boson (electric charge conservation rules out a W boson, color charge conservation would rule out a gluon) that produce two spin-3/2 WDM particles. The right conditions might arise frequently in the intense immediately post-singularity environment shortly after the Big Bang, but rarely thereafter, or only in the vicinity of supermassive black holes now.
Properties
Warm dark matter models work best with a very simple single fermionic dark matter particle type (i.e. spin 1/2, 3/2, 5/2 etc.) that interacts only via gravity, rather than mixed dark matter (at least in the current era), or a self-interacting dark matter species, although it isn't clear to me that one couldn't have like the other fermions, three generations of warm dark matter particles, only one of which is stable for more than a fraction of a second.
Precision electroweak high energy physics data from particle accelerators strongly disfavor the possibility that such a particle can be produced in the decay of W bosons (ca. 80 GeV) or Z bosons (90 GeV) and are on the verge of strongly disfavoring it is a possible decay product of a the Higgs boson (ca. 126 GeV). Thus, it is highly unlike that this particle interacts via the nuclear weak force. In these respect, warm dark matter particles would differ from every single other kind of massive particle (fermion or boson, composite or fundamental) in the Standard Model of Particle Physics.
Neither interactions via standard model electromagnetic interactions or nuclear strong force interactions are favored either.
It isn't at all obvious how one would from a practical perspective directly detect a particle with such a low cross-section of interation (virtually none except for Fermi contact forces that flow from the observation that two fermions can't be in the same place at the same time).
Warm Dark Matter requires beyond the Standard Model Physics
The warm dark matter mass favored by astronomy observations of about 2000 eV is far in excess of the experimentally favored masses of the known three neutrino mass states in the Standard Model, which are all in the vicinity of a range from 0.001 to 0.050 eV. And, they are far lighter than the lightest known fundamental fermion other than a neutrino, the electron which has a rest mass of about 510,000,000 eV. The lighest quarks (up and down) have masses similar in order of magnitude to the electron. All known and predicted composite particles in the Standard Model of Particle Physics are much heavier (the lightest is more than 100,000,000 eV in rest mass).
The Standard Model has no mechanism that would produce warm dark matter particles, and while one would describe them as "right handed neutrinos", the less presumptuous "sterile neutrino" description of these particles is a better fit as it doesn't imply that it is necessary part of the set of three generations each of four kinds of fermions of the Standard Model.
While it is trivial to use lamda CDM model constants to determine precisely how many such particles exist in the universe at that mass, this part of leptogenesis is strictly beyond the Standard Model physics.
Where could WDM fit in a BSM theory? Some conjectures.
I am rather inclined to see as promising ideas such as graviweak unification that seek a source for a fundamental warm dark matter particle in the gravitational side of a Theory of Everything, rather than the GUT side of a theory of everything (assuming that a GUT can be coaxed out of the Standard Model of Particle Physics).
For example, the notion of a spin-3/2 WDM counterpart to the spin-2 graviton is an attractive one with the anomalous spin both filling a gap in the roster of fundamental particles of the spin, and providing a supersymmetry-like counterpart to the graviton (the true spin-3/2 SUSY gravitino is basically excluded by LHC data, however, as are sterile neutrinos produced by active-sterile neutrino mixing), while possibly explaining why it cannot be produced (or at least detected) in decays of spin-1 particles like the W and Z, or spin-0 particles like the Higgs boson, while leaving open the potential for phenomenologically invisible weak force interactions of this particle.
In a simple sterile neutrino singlet model one might imagine it being produced in interactions between a high energy spin-2 graviton and a photon or Z boson (electric charge conservation rules out a W boson, color charge conservation would rule out a gluon) that produce two spin-3/2 WDM particles. The right conditions might arise frequently in the intense immediately post-singularity environment shortly after the Big Bang, but rarely thereafter, or only in the vicinity of supermassive black holes now.
Don't Doubt Accuracy Of Cosmological Constant Yet
Previous empirical tests of the "standard model of cosmology", sometimes called the six parameter lamda CDM model, have found that a simple "cosmological constant" of general relativity is sufficient to fully describe observed dark energy effects in astronomy observations. A pre-print released a week ago argues that it sees a two standard deviation variation from that prediction in one subset of data. The abstract of the paper states:
But, as Motl explains, there are sound theoretical reasons to doubt that the deviation observed is more than a statistical fluke because if the universe had the properties claimed (a w constant more negative than -1), this would lead to a variety of implications that appear non-physical, particularly in light of the modest statistical significance of the result. For instance, it would imply a speed of sound greater than the speed of light in some instances. Sean Carroll is co-author of a paper that at least admits the possibility as one not to be dismissed out of hand
The cosmological fit to 313 SNe Ia (112 PS1 SNe Ia + 201 low-z SNe Ia), using only SNe and assuming a constant dark energy equation of state and flatness, yields w = -1.015^{+0.319}_{-0.201}(Stat)+{0.164}_{-0.122}(Sys). When combined with BAO+CMB(Planck)+H0, the analysis yields Omega_M = 0.277^{+0.010}_{-0.012} and w = -1.186^{+0.076}_{-0.065} including all identified systematics, as spelled out in the companion paper by Scolnic et al. (2013a).The full Pan-STARRS1 supernova sample will be 3 times as large as this initial sample, which should provide more conclusive results.
The value of w is inconsistent with the cosmological constant value of -1 at the 2.4 sigma level. This tension has been seen in other high-z SN surveys and endures after removing either the BAO or the H0 constraint. If we include WMAP9 CMB constraints instead of those from Planck, we find w = -1.142^{+0.076}_{-0.087}, which diminishes the discord to <2 data-blogger-escaped-b="" data-blogger-escaped-sigma.="">We cannot conclude whether the tension with flat CDM is a feature of dark energy, new physics, or a combination of chance and systematic errors.
But, as Motl explains, there are sound theoretical reasons to doubt that the deviation observed is more than a statistical fluke because if the universe had the properties claimed (a w constant more negative than -1), this would lead to a variety of implications that appear non-physical, particularly in light of the modest statistical significance of the result. For instance, it would imply a speed of sound greater than the speed of light in some instances. Sean Carroll is co-author of a paper that at least admits the possibility as one not to be dismissed out of hand
Thursday, October 17, 2013
A Neutrino Physics Recap From Snowmass
A preprint posted yesterday summing up presentations from the Snowmass Conference (Snowmass is just down the road from Aspen, Colorado) that sums up the state of neutrino physics today. I'll recap some highlights in this post from this comprehensive 89 page long review article.
Our understanding of neutrinos has progressed rapidly over the last twenty years and neutrino physics remains an area of fundamental physics where there is a lot of basic information that is not known, but is knowable simply through more mid-sized budget (compared to particle accelerators) brute force experimental efforts.
The next couple of decades of neutrino physics will either reveal a fairly "boring scenario" which I predict (a "normal" neutrino mass hierarchy, with exactly three fertile Dirac neutrinos, a lightest neutrino mass of about 1 meV or less, no neutrinoless double beta decay or lepton number violations, anomalies that disappear with increased experimental and theoretical prediction precision, and significant CP violation), or more exciting "new physics."
PMNS matrix and neutrino mass state difference magnitude constants
It provides the current best global fit values for the neutrino physics constants of the PMNS matrix in equation 8 from the source (with precision on a percentage basis following the data):
* Δm221= 7.54+0.26-0.22 * 10-5 eV2 (3.2%) (this implies that the magnitude of Δm21 is about 8.68 meV).
* Δm232= 2.43+0.1-0.06 * 10-3 eV2 (3.3%) (this implies that the magnitude of Δ m32is about 49.30 meV).
* sin2ϴ12= 3.07+0.18-0.16 * 10-1 (16%)
* sin2ϴ23= 3.86+/-0.24 * 10-1 (21%)
* sin2ϴ13= 2.41+/-0.25 * 10-1 (10%)
* Dirac CP violating phase σ/π<=1.08+0.28-0.31 radians (all possible values are encompassed at 2 standard deviations of variation)
A value of zero for the CP violating phase σ would mean that there was no CP violation in neutrino oscillations (or, put differently, that the rate of which neutrino oscillations take place in different direction in time (e.g. muon neutrino to electron neutrino v. electron neutrino to muon neutrino) exactly matches. A CP violating phase of π (i.e. 180 degrees) would constitute maximal CP violation in neutrino oscillations. The best fit is for maximal or near maximal CP violation, but the measurement is very imprecise. Still, it isn't unreasonable to state that a Dirac CP violation phase of zero in neutrino oscillations is mildly disfavored by the data to date.
The CP violating phase of the CKM matrix is known to a precision of about 5%. It is 70.4+4.3-4.4 degrees (about 1.23 radians). I have explored in another post earlier this year all manner of numerological reasons to favor on Dirac CP violating phase in the PMNS matrix over another with a great many values of the constant that seem plausible present. Nothing in this latest review article sheds much more light on the matter.
We should have more precise values for all of these constants and some statistically significant estimate of the Dirac CP violating phase σ of the PMNS matrix within a decade from the half dozen major experiments in progress, and possibly within even just a few years. A definitive determination could easily take until the year 2020 or even the year 2025, however.
Absolute neutrino masses and the neutrino mass hierarchy
The absolute values of the neutrino masses are significantly bounded by experiment (with both a minimum and maximum value). The sum of the three neutrino mass states is constrained (most strongly by astronomy measurements of the cosmic background radiation methodologically very different from other sources of neutrino physics constants) to be less than 100 meV. (If a recall correctly, the best fit to the astronomy data is about 60 meV.)
Direct measurements of neutrino emissions in beta decay impose a far less strict bound due to lower experimental sensitivity with the average neutrino emitted in beta decay (predominantly electron anti-neutrinos) alone having a mass of less than 2000 meV. Later this decade, the KATRIN experiment can place an upper bound of 200meV with 90% confidence and 350meV with five sigma confidence, which is still far above the model dependent boundary indirectly determined from cosmic background radiation measurements.
If this upper bound on the sum of the three neutrino masses from astronomy data is accepted, the lightest neutrino mass state must be somewhere between 0 and 42 meV. If the neutrino hierarchy is "normal" then the lightest neutrino mass state m1 is less than 8.68 meV and the sum of the three neutrino mass states is between 58 meV and 67 meV, and is realistically at the low end of that range. Astronomy data may be able to test a boundary of about 60meV in a few years to a couple of decades.
The determination of whether the neutrino mass hierarchy is "normal" (like other Standard Model fermions) or "inverted" (with two nearly identical heavier masses and one lighter mass) is not established.
The data tends to favor a normal hierarchy which is the "default" theoretical expectation given the precedent from quarks and charged leptons that exhibit this hierarchy. One Monte Carlo analysis of reactor data puts the probability of a normal hierarchy rather than an inverted one at 98.9%, a three sigma result not rigorously integrated with other data), but this not definitive enough to declare that this has been determined at the gold standard five sigma level.
If the mass hierarchy is "normal" it is somewhat easier to resolve the Dirac CP violation phase of the PMNS matrix than it is if the mass hierarchy is "inverted."
The bottom line is that while absolute neutrino mass and the neutrino mass hierarchy have not been definitively determined, that the available data favor results that are quite specific even if they are not yet definitive to the discipline's rigorous standards. I personally strongly suspect that neutrinos have a normal mass hierarchy and that the mass of the lightest neutrino mass state is on the order of 1 meV or less.
Dirac v. Majorana masses
It has also not be determined whether the neutrino masses are "Dirac" or "Majorana." If neutrinoless double beta decay doesn't happen, then neutrino masses must be Dirac, just like all of the other fermion masses. If neutrinoless double beta decay happens, then neutrinos could be Majorana and their absolute Majorana masses could be determined in model dependent manner from that rate. This is because if neutrinos are Majorana particles, "lepton number" (a quantum number conserved in the Standard Model) is not conserved.
Also, if neutrinos are Majorana rather than Dirac, there may be as many as three CP violating phases governing neutrino oscillations and the PMNS matrix is not necessarily unitary.
Models with lepton number violation, including supersymmetry (SUSY) and Majorana neutrino models are popular with theorists as a way to explain the matter-antimatter asymmetry in the observed universe. Neutrinoless double beta decay is the cleanest way to experimentally observe lepton number violation. But, no lepton number violation has ever been observed experimentally.
To date, the results of the only experiment claiming to detect neutrinoless double beta decay, in the Heidelberg-Moscow experiment, has been discredited by multiple other experiments that have failed to replicate the result. So, there is no credible evidence to date of neutrinoless double beta decay, although at least eight major experiments are searching for experimental evidence of it. Current and next generation experiments are sensitive to neutrinoless double beta decay at rates that would imply Majorana masses on the order of 100 meV (for a single neutrino), which is already ruled out by astronomy data. It will take experiments only in the planning stages to detect neutrinoless double beta decay at rates that would imply Majorana masses on the order of 10meV or less, although these experiments are well within the range of engineering possibility.
These planned experiments would also place serious constraints on many varieties of SUSY experiments by failing to show neutrinoless double beta decay at the rates required for the remaining portion of SUSY parameter space.
A Majorana mass of the electron neutrino of less than 20meV is inconsistent with an "inverted" mass hierarchy. For example, if other measurements found that the mass hierarchy was inverted, then a 10meV neutrino mass would imply that neutrinos had only Dirac mass.
If the Majorana masses of the neutrinos are as low as the astronomy and mass state difference magnitudes imply that they must be, if the exist at all, we shouldn't have detected neutrinoless double beta decay with current experiments in any case and may not have the experimental capacity to do so for another decade or more.
For what it is worth, my own personal expectation is that neutrinoless double beta decay and lepton violation do not occur in low energy contexts, that SUSY is false, and that neutrinos are Dirac rather than Majorana particles. But, a couple of experiments that confirm each other could easily prove me to be wrong.
Beyond The Three Neutrino Model
Three neutrinos with masses along the lines discussed above that oscillate according to the PMNS matrix with the parameters described above provide a best fit for the sum total of all available scientific data on neutrinos today.
But, cosmic background radiation data does not definitively rule out a fourth neutrino type (although it is slightly more consistent with only three neutrino types) and short-baseline neutrino oscillation experiments associated with nuclear reactors has two and three standard deviation anomalies in their data that could point to beyond the three neutrino model physics such as a fourth "sterile" neutrino species with a mass on the order of 1 eV which would be an attractive "warm dark matter" particle candidate. None of these deviations is definitive, however, and a three fertile and one sterile neutrino model poses difficulties of its own to integrate with the whole of the available scientific data.
In particular, reactor experiments are greatly limited in precision by our weak understanding of and ability to model weak force interactions of neutrinos within a nuclear environment like a fission reactor at various energy levels. This kind of neutrino behavior is called "neutrino scattering" and current calculations of these interactions have uncertainties of 10%-40%, with the data frequently differing from current crude theoretical estimates. This understanding is also necessary to better model theoretical expectations for neutrino bursts from supernovae that are observed.
We know from W and Z boson decays, for example, that there are only three kinds of neutrinos that interact via the weak nuclear force and that neutrinos come in only "left handed neutrino" and "right handed antineutrino" varieties, unlike all other fermions which have both left handed and right handed particles and antiparticles respectively - something that is no doubt related to the neutrinos' lack of electric charge, a quantum number intimately interrelated with parity as part of the CPT symmetry conserved in the Standard Model.
Searches are underway to determine in neutrinos have any measurable magnetic moment (none has been detected so far, but a large magnetic moment is possible if neutrinos are Majorana particles), and to detect any non-Standard Model forces that act on neutrinos (and possible other particles that interact with them).
Ultimately, my prediction is that the short-baseline neutrino oscillation experiment anomalies will be determined to have a cause other than a sterile or fourth generation neutrino, most likely due to miscalculated theoretical neutrino scattering expectations in current experiments. I also expect that no neutrino magnetic moment will be detected anytime soon, and that no non-Standard Model forces that act on neutrinos will be discovered.
While a warm dark matter scenario with particles with the properties of "sterile neutrinos" makes a great deal of sense and is a good fit to the data, I suspect that any such particles are not closely related to the Standard Model fermion neutrinos that we know and love. Instead, such particles may very well be creatures of the gravitational particle and force sector (as in gravi-weak unification).
Neutrino backgrounds and expectations
Over the next couple of decades we are developing increasingly refined understanding of what the background flux of neutrinos from nuclear reactions in the sun, and nuclear fission reactions inside the Earth look like, which will in turn tell us a lot about the inner workings of both the sun and the Earth. We are also struggling to understand neutrino fluxes associated with core collapse supernovae which release approximately 99% of their energy in neutrino form.
Better understandings of these backgrounds and theoretical expectations will facilitate precision measurement of neutrino fluxes that are notable because they represent signals above and beyond this background noise.
Our understanding of neutrinos has progressed rapidly over the last twenty years and neutrino physics remains an area of fundamental physics where there is a lot of basic information that is not known, but is knowable simply through more mid-sized budget (compared to particle accelerators) brute force experimental efforts.
The next couple of decades of neutrino physics will either reveal a fairly "boring scenario" which I predict (a "normal" neutrino mass hierarchy, with exactly three fertile Dirac neutrinos, a lightest neutrino mass of about 1 meV or less, no neutrinoless double beta decay or lepton number violations, anomalies that disappear with increased experimental and theoretical prediction precision, and significant CP violation), or more exciting "new physics."
PMNS matrix and neutrino mass state difference magnitude constants
It provides the current best global fit values for the neutrino physics constants of the PMNS matrix in equation 8 from the source (with precision on a percentage basis following the data):
* Δm221= 7.54+0.26-0.22 * 10-5 eV2 (3.2%) (this implies that the magnitude of Δm21 is about 8.68 meV).
* Δm232= 2.43+0.1-0.06 * 10-3 eV2 (3.3%) (this implies that the magnitude of Δ m32is about 49.30 meV).
* sin2ϴ12= 3.07+0.18-0.16 * 10-1 (16%)
* sin2ϴ23= 3.86+/-0.24 * 10-1 (21%)
* sin2ϴ13= 2.41+/-0.25 * 10-1 (10%)
* Dirac CP violating phase σ/π<=1.08+0.28-0.31 radians (all possible values are encompassed at 2 standard deviations of variation)
A value of zero for the CP violating phase σ would mean that there was no CP violation in neutrino oscillations (or, put differently, that the rate of which neutrino oscillations take place in different direction in time (e.g. muon neutrino to electron neutrino v. electron neutrino to muon neutrino) exactly matches. A CP violating phase of π (i.e. 180 degrees) would constitute maximal CP violation in neutrino oscillations. The best fit is for maximal or near maximal CP violation, but the measurement is very imprecise. Still, it isn't unreasonable to state that a Dirac CP violation phase of zero in neutrino oscillations is mildly disfavored by the data to date.
The CP violating phase of the CKM matrix is known to a precision of about 5%. It is 70.4+4.3-4.4 degrees (about 1.23 radians). I have explored in another post earlier this year all manner of numerological reasons to favor on Dirac CP violating phase in the PMNS matrix over another with a great many values of the constant that seem plausible present. Nothing in this latest review article sheds much more light on the matter.
We should have more precise values for all of these constants and some statistically significant estimate of the Dirac CP violating phase σ of the PMNS matrix within a decade from the half dozen major experiments in progress, and possibly within even just a few years. A definitive determination could easily take until the year 2020 or even the year 2025, however.
Absolute neutrino masses and the neutrino mass hierarchy
The absolute values of the neutrino masses are significantly bounded by experiment (with both a minimum and maximum value). The sum of the three neutrino mass states is constrained (most strongly by astronomy measurements of the cosmic background radiation methodologically very different from other sources of neutrino physics constants) to be less than 100 meV. (If a recall correctly, the best fit to the astronomy data is about 60 meV.)
Direct measurements of neutrino emissions in beta decay impose a far less strict bound due to lower experimental sensitivity with the average neutrino emitted in beta decay (predominantly electron anti-neutrinos) alone having a mass of less than 2000 meV. Later this decade, the KATRIN experiment can place an upper bound of 200meV with 90% confidence and 350meV with five sigma confidence, which is still far above the model dependent boundary indirectly determined from cosmic background radiation measurements.
If this upper bound on the sum of the three neutrino masses from astronomy data is accepted, the lightest neutrino mass state must be somewhere between 0 and 42 meV. If the neutrino hierarchy is "normal" then the lightest neutrino mass state m1 is less than 8.68 meV and the sum of the three neutrino mass states is between 58 meV and 67 meV, and is realistically at the low end of that range. Astronomy data may be able to test a boundary of about 60meV in a few years to a couple of decades.
The determination of whether the neutrino mass hierarchy is "normal" (like other Standard Model fermions) or "inverted" (with two nearly identical heavier masses and one lighter mass) is not established.
The data tends to favor a normal hierarchy which is the "default" theoretical expectation given the precedent from quarks and charged leptons that exhibit this hierarchy. One Monte Carlo analysis of reactor data puts the probability of a normal hierarchy rather than an inverted one at 98.9%, a three sigma result not rigorously integrated with other data), but this not definitive enough to declare that this has been determined at the gold standard five sigma level.
If the mass hierarchy is "normal" it is somewhat easier to resolve the Dirac CP violation phase of the PMNS matrix than it is if the mass hierarchy is "inverted."
The bottom line is that while absolute neutrino mass and the neutrino mass hierarchy have not been definitively determined, that the available data favor results that are quite specific even if they are not yet definitive to the discipline's rigorous standards. I personally strongly suspect that neutrinos have a normal mass hierarchy and that the mass of the lightest neutrino mass state is on the order of 1 meV or less.
Dirac v. Majorana masses
It has also not be determined whether the neutrino masses are "Dirac" or "Majorana." If neutrinoless double beta decay doesn't happen, then neutrino masses must be Dirac, just like all of the other fermion masses. If neutrinoless double beta decay happens, then neutrinos could be Majorana and their absolute Majorana masses could be determined in model dependent manner from that rate. This is because if neutrinos are Majorana particles, "lepton number" (a quantum number conserved in the Standard Model) is not conserved.
Also, if neutrinos are Majorana rather than Dirac, there may be as many as three CP violating phases governing neutrino oscillations and the PMNS matrix is not necessarily unitary.
Models with lepton number violation, including supersymmetry (SUSY) and Majorana neutrino models are popular with theorists as a way to explain the matter-antimatter asymmetry in the observed universe. Neutrinoless double beta decay is the cleanest way to experimentally observe lepton number violation. But, no lepton number violation has ever been observed experimentally.
To date, the results of the only experiment claiming to detect neutrinoless double beta decay, in the Heidelberg-Moscow experiment, has been discredited by multiple other experiments that have failed to replicate the result. So, there is no credible evidence to date of neutrinoless double beta decay, although at least eight major experiments are searching for experimental evidence of it. Current and next generation experiments are sensitive to neutrinoless double beta decay at rates that would imply Majorana masses on the order of 100 meV (for a single neutrino), which is already ruled out by astronomy data. It will take experiments only in the planning stages to detect neutrinoless double beta decay at rates that would imply Majorana masses on the order of 10meV or less, although these experiments are well within the range of engineering possibility.
These planned experiments would also place serious constraints on many varieties of SUSY experiments by failing to show neutrinoless double beta decay at the rates required for the remaining portion of SUSY parameter space.
A Majorana mass of the electron neutrino of less than 20meV is inconsistent with an "inverted" mass hierarchy. For example, if other measurements found that the mass hierarchy was inverted, then a 10meV neutrino mass would imply that neutrinos had only Dirac mass.
If the Majorana masses of the neutrinos are as low as the astronomy and mass state difference magnitudes imply that they must be, if the exist at all, we shouldn't have detected neutrinoless double beta decay with current experiments in any case and may not have the experimental capacity to do so for another decade or more.
For what it is worth, my own personal expectation is that neutrinoless double beta decay and lepton violation do not occur in low energy contexts, that SUSY is false, and that neutrinos are Dirac rather than Majorana particles. But, a couple of experiments that confirm each other could easily prove me to be wrong.
Beyond The Three Neutrino Model
Three neutrinos with masses along the lines discussed above that oscillate according to the PMNS matrix with the parameters described above provide a best fit for the sum total of all available scientific data on neutrinos today.
But, cosmic background radiation data does not definitively rule out a fourth neutrino type (although it is slightly more consistent with only three neutrino types) and short-baseline neutrino oscillation experiments associated with nuclear reactors has two and three standard deviation anomalies in their data that could point to beyond the three neutrino model physics such as a fourth "sterile" neutrino species with a mass on the order of 1 eV which would be an attractive "warm dark matter" particle candidate. None of these deviations is definitive, however, and a three fertile and one sterile neutrino model poses difficulties of its own to integrate with the whole of the available scientific data.
In particular, reactor experiments are greatly limited in precision by our weak understanding of and ability to model weak force interactions of neutrinos within a nuclear environment like a fission reactor at various energy levels. This kind of neutrino behavior is called "neutrino scattering" and current calculations of these interactions have uncertainties of 10%-40%, with the data frequently differing from current crude theoretical estimates. This understanding is also necessary to better model theoretical expectations for neutrino bursts from supernovae that are observed.
We know from W and Z boson decays, for example, that there are only three kinds of neutrinos that interact via the weak nuclear force and that neutrinos come in only "left handed neutrino" and "right handed antineutrino" varieties, unlike all other fermions which have both left handed and right handed particles and antiparticles respectively - something that is no doubt related to the neutrinos' lack of electric charge, a quantum number intimately interrelated with parity as part of the CPT symmetry conserved in the Standard Model.
Searches are underway to determine in neutrinos have any measurable magnetic moment (none has been detected so far, but a large magnetic moment is possible if neutrinos are Majorana particles), and to detect any non-Standard Model forces that act on neutrinos (and possible other particles that interact with them).
Ultimately, my prediction is that the short-baseline neutrino oscillation experiment anomalies will be determined to have a cause other than a sterile or fourth generation neutrino, most likely due to miscalculated theoretical neutrino scattering expectations in current experiments. I also expect that no neutrino magnetic moment will be detected anytime soon, and that no non-Standard Model forces that act on neutrinos will be discovered.
While a warm dark matter scenario with particles with the properties of "sterile neutrinos" makes a great deal of sense and is a good fit to the data, I suspect that any such particles are not closely related to the Standard Model fermion neutrinos that we know and love. Instead, such particles may very well be creatures of the gravitational particle and force sector (as in gravi-weak unification).
Neutrino backgrounds and expectations
Over the next couple of decades we are developing increasingly refined understanding of what the background flux of neutrinos from nuclear reactions in the sun, and nuclear fission reactions inside the Earth look like, which will in turn tell us a lot about the inner workings of both the sun and the Earth. We are also struggling to understand neutrino fluxes associated with core collapse supernovae which release approximately 99% of their energy in neutrino form.
Better understandings of these backgrounds and theoretical expectations will facilitate precision measurement of neutrino fluxes that are notable because they represent signals above and beyond this background noise.
Friday, October 11, 2013
The Testimony of Chocolate
Chocolate was first used as a food in great megalithic civilizations of Central America. The domestication of the plant and knowledge of how to use it eventually spread widely in the New World. Since the civilization in which it arose originally is well understood, evidence of chocolate use elsewhere can be used as a marker of when and where this part of the broader Meso-American cultural package spread.
Four years ago it become possible to test pottery recovered by archaeologists for chocolate residues. This pottery, in turn, can be securely dated and associated with particular archaeological cultures by stratigraphic methods, carbon-14, tree rings in associated materials, and pottery styles (often in communities with associated cemeteries upon which ancient DNA testing has been conducted and for which reliable links to communities in existence at first European contact can be established).
This new solid physical evidence supports an interpretation of archaeological cultures in the American Southwest in the seven centuries before Columbus arrived in the New World favors an interpretation in which Mexican influences were present earlier and further North than previous consensus interpretations. Mexican cultural innovations were diffused more rapidly diffusion than had previously been believed. It also supports other archaeological evidence supporting folk migration and replacement rather than gradual cultural diffusion as far north as Utah and as far back as the 8th century CE.
An 8th century CE date would suggest that the diffusion of chocolate began with the Mayans rather than with the Aztecs, possibly with an interruption in the last 1st millennium driven by climate events.
In the context of Colorado, this tends to push back the time frame in which the Uto-Aztecian peoples ancestral to the Ute Indians of today arrived on the scene, and reinforces the linguistic inference that they are Mexican derived peoples, at least on a cultural and linguistic level.
Gambler's House exhaustively covers the new developments:
Reference:
Washburn DK, Washburn WN, & Shipkova PA (2013). "Cacao consumption during the 8th century at Alkali Ridge", Southeastern Utah Journal of Archaeological Science, 40, 2007-2013 DOI: 10.1016/j.jas.2012.12.017
Four years ago it become possible to test pottery recovered by archaeologists for chocolate residues. This pottery, in turn, can be securely dated and associated with particular archaeological cultures by stratigraphic methods, carbon-14, tree rings in associated materials, and pottery styles (often in communities with associated cemeteries upon which ancient DNA testing has been conducted and for which reliable links to communities in existence at first European contact can be established).
This new solid physical evidence supports an interpretation of archaeological cultures in the American Southwest in the seven centuries before Columbus arrived in the New World favors an interpretation in which Mexican influences were present earlier and further North than previous consensus interpretations. Mexican cultural innovations were diffused more rapidly diffusion than had previously been believed. It also supports other archaeological evidence supporting folk migration and replacement rather than gradual cultural diffusion as far north as Utah and as far back as the 8th century CE.
An 8th century CE date would suggest that the diffusion of chocolate began with the Mayans rather than with the Aztecs, possibly with an interruption in the last 1st millennium driven by climate events.
In the context of Colorado, this tends to push back the time frame in which the Uto-Aztecian peoples ancestral to the Ute Indians of today arrived on the scene, and reinforces the linguistic inference that they are Mexican derived peoples, at least on a cultural and linguistic level.
Gambler's House exhaustively covers the new developments:
The initial discovery of chemical markers for chocolate on potsherds from Chaco Canyon in 2009 was a hugely significant development in understanding Chaco. The evidence for the presence of chocolate, a Mesoamerican product that couldn’t possibly have been locally grown and is very unlikely to have been gradually traded northward through a series of intermediaries, gave a huge boost to the “Mexicanist” school of thought about Chaco, which holds that many of the unusual aspects of the Chaco system are due to influence from Mesoamerica. . . . they also found traces of cacao in vessels of similar form from the later Classic Hohokam period in southern Arizona, and, most surprisingly, also in vessels from the “small-house sites” at Chaco and elsewhere that are thought to have housed the lower classes of Chacoan society. The previous evidence for chocolate came from distinctive vessels at the “great houses” that are the hallmark of the Chaco system and seem to have been used by elites (though exactly what they used them for remains unclear and controversial). This is exactly the kind of setting where it would be unsurprising to find unusual, exotic things, and indeed the great houses clearly contained many such things in addition to the chocolate. Finding this sort of exotic foodstuff in more mundane pots at the small houses implies that it may have been more widely accessible than previously thought, which has important implications for understanding the nature of the Chaco system.
Well, now things have become even more complicated. The same researchers who did that follow-up study have done another, this time looking at a much earlier period and a different part of the Southwest. They used their same techniques to test for the presence of chocolate in pottery at Alkali Ridge Site 13 in southeastern Utah, a very important early village site dating to the eighth century AD. Site 13 was one of the earliest large villages established in the northern Southwest during the Pueblo I period, and its architecture shows some striking parallels to later Pueblo I villages such as McPhee Village in the Dolores, Colorado area, as well as to some of the early great houses at Chaco and elsewhere that developed even later. The early Pueblo I period in southern Utah is also associated with the introduction of a new type of pottery, San Juan Red Ware, which was widely traded from an apparently rather restricted production area and probably used for ceremonial purposes of some sort. In addition to being a different color from the more common gray and white pottery of the area, San Juan Red Ware also featured a distinctive design system in its decoration, one without obvious local antecedents. Combined with the distinctive architecture, this has led some archaeologists to posit that there was a migration into southern Utah during early Pueblo I from somewhere to the south, bringing these distinctive traits.
In that context, looking for cacao makes sense, as that would be a clear sign of ties to the south and cultural distinctiveness. Dorothy Washburn, who was the lead author on both this and the previous study, has actually written mainly on design style in ceramics and other handicrafts, focusing on symmetry patterns. Based on the changes she has found in these patterns, she has argued for a very strong Mexicanist interpretation of Chaco, involving actual migration of people from far to the south bringing a distinctive pottery decoration style. She seems to have a similar view about Alkali Ridge, for similar reasons. . . .
Back when it seemed like chocolate was limited to cylinder vessels at Chaco great houses, that was easy to interpret: chocolate, like many other exotic goods found at these sites, was part of an extensive trading systems for elite goods, probably used for ritual purposes, which the elites of Chaco participated in (and perhaps dominated and directed). Finding it in the Hohokam vessels implied a similar system operating among elites at Classic Hohokam sites, which is consistent with some interpretations of Classic Hohokam society, plus the Hohokam in general show lots of evidence of contact with Mesoamerica in general so the presence of chocolate is much less surprising there than it was at Chaco. Finding it in the small houses at Chaco complicated the story somewhat and implied that the chocolate imported to Chaco wasn’t as restricted as had been thought, but since it was already known to be present at the great houses it’s not too surprising that the contemporaneous small houses had it too.
Alkali Ridge, though, is much earlier and much further north than any of these other sites. Getting chocolate there in significant quantities would have required a pretty elaborate and robust supply chain over a very long distance, much of which was inhabited by societies that are not generally considered to have been capable of this kind of long-distance coordination....
We now have evidence of chocolate from Utah in the eighth century, New Mexico (and to a lesser extent Colorado and Arizona) in the eleventh, and Arizona in the fourteenth.In theory, there could be methodological problems (perhaps the residues are actually some other local plant that is merely similar to chocolate), and there are still big gaps where pottery has not been tested for residues leaving a less detailed picture than one might hope. But, neither concerns seem like strong caveats on these discoveries.
Reference:
Washburn DK, Washburn WN, & Shipkova PA (2013). "Cacao consumption during the 8th century at Alkali Ridge", Southeastern Utah Journal of Archaeological Science, 40, 2007-2013 DOI: 10.1016/j.jas.2012.12.017
Thursday, October 10, 2013
Glueball Found?
The Possible Glueball Resonance.
One of the most striking predictions of the Standard Model of particle physics not yet confirmed by experiment is the existence of a class of particles called glueballs.
Earlier this year, a new paper (updated today) noted that a particle resonance dubbed X(3020) for its mass of 3.02 GeV in neutral B meson decays that has been observed by the BABAR collaboration is a strong candidate to be the first experimentally observed "glueball."
Nine glueball states predicted by the Standard Model have masses which are predicted to be consistent to within margin of error (due to incomplete calculations and uncertainties in fundamental constant measurements) of 3020 MeV. Three are variations of the excited 2-+ tensor glueball state made of two gluons. Three are variation of the excited 1-- vector glueball state made of three gluons. Three a variation of the excited 1+- vector glueball state made of three gluons.
While confirmation that the particle resonance observed at 3.02 GeV is indeed a glueball would not be as profound as the discovery of the Higgs boson, it would be considerably more profound in terms of what it would mean for our fundamental understanding of physics than the synthesis of a new atomic element or the discovery of a new (QCD predicted) meson or baryon.
Background
Quantum chromodynamics (QCD) is the part of the Standard Model of Particle Physics that described how the nuclear strong force binds six different kinds quarks (up, down, charm, strange, top, bottom), each of which have one of three strong force color charges (often called red, green and blue although the names are purely arbitrary and have nothing to do with the electromagnetic photon frequency based colors of those names). Anti-quarks of each type and color are possible as well. Hence, one might have a blue up quark, or an anti-red strange quark.
Color charge interactions between quarks are transmitted by force carrying particles called gluons, which like photons which transmit the electromagnetic force have zero rest mass. Gluons do not interact via the electromagnetic force that is transmitted by photons, nor by the weak nuclear force that is transmitted by W bosons and Z bosons. There are eight different strong nuclear force color charges for gluons that are possible, normally described as pairs of quark colors (e.g. red-antigreen). Gluons interact with each other via the strong force as well as with color charged quarks.
While gluons have zero rest mass, they do transmit carry energy between quarks and that mass-energy contributes substantially to the mass-energy of mesons and baryons. About 98% of the mass of a proton or neutron (about 1 GeV) comes from the gluon fields binding the quarks together rather than the masses of the three component quarks (about 13 MeV +/- 50%). But, after controlling for the masses of constituent quarks, ground state mesons and baryons with the same spin and electromagnetic charges in the constituent quarks have about the same mass contribution attributable to gluons.
All composite particles observed to date are gluon bound systems quarks: two quarks (mesons), three quarks (baryons such as protons and neutrons), or possibly four quarks (tetraquarks), although the last observation appears to be better explained as a two meson "molecule" rather than a true composite four quark particle
The Prediction
One of the most distinctive predictions of quantum chromodynamics (i.e. nuclear strong force physics) that has yet to be confirmed experimentally is the existence of "glueballs" which would be composite particles made entirely of QCD-color charged gluons without any quarks. QCD predicts a variety of possible glueballs with well defined properties (also, e.g., here and here and here), both in terms of their properties as particles and the kinds of decays that would follow from them. As the paper notes:
Still, while the issue has attracted very little scholarly attention in the form of proposed theoretical physics models, a model that would rule out glueball states while allowing for the exquisite confirmation of QCD in terms of observed mesons and baryons that are predicted by QCD, would require a major tweak to the Standard Model of Particle physics (such as some new quantum number conservation law) with other consequences (e.g. an implied goldstone boson to correspond to the new symmetry) and implications possible grand unified theories and the like.
Of course, ruling out a prediction of QCD which is so strongly theoretically favored by the Standard Model, despite the fact that QCD is profoundly less precise in its predictions and parameters than the electroweak part of the Standard Model, would call for truly definitive experimental evidence and truly accurate theoretical predictions - so this would be very difficult to prove.
Taxonomy
All glueballs have electromagnetic charges aka Q(e) of zero because all of their component gluons have zero electromagnetic charges.
The various possible glueballs predicted by QCD are described by three quantum number (J, P, and C) and a mass commonly stated in mega-electron volts. All glueballs must be bosons rather than fermions (i.e. must have integer spin). Two gluon glueballs can have J=0 (scalar or pseudo-scalar), or 2 (tensor). Three gluon glueballs can have J=1 (vector) or 3. P and C refer to parity and C-parity in this context (the concepts are rather technical). These three numbers plus a mass (typically stated in MeV/c^2 units) fully describe a particular type of glueball.
QCD allows for various glueball states that have the same JPC quantum numbers but different masses in excited states (meson and baryons can also have excited states).
Glueball Discovery Efforts Have Been Inconclusive
The paper explains that efforts to match experimental data to glueball candidates have been inconclusive so far:
While there have been hints that particle resonances might be glueballs since 2005, eight years later, the evidence is still inconclusive and this study, while identifying a promising glueball candidate, does not change that assessment. These particles, predicted by the Standard Model, remain elusive.
Experimental Challenges
The trouble is that a particle zoo of mesons, baryons and hypothetical glueballs, many of which have similar properties. There are roughly a hundred ground states of composite mesons and baryons that are possible in QCD and these states have also "excited" state equivalents that are identical in all respects except mass.
Moreover, while some properties of a particle, like its electromagnetic charge, are easy to measure experimentally, others like its spin, charge and parity, can be challenging to reconstruct experimentally.
Any particle with an electromagnetic charge and any particle that behaves like a fermion can't be a glueball.
Distinguishing a glueball from a meson is more challenging. Mesons which are made of two quarks, like glueballs, are always bosons. They can have J=0 (scalar and pseudo-scalar) or can have J=1 (vector).
The ease of measuring electromagnetic charge makes it easy to rule out many of these particles as potential glueballs and to make a first rough sort of potential quark components. But, there are still dozens of potential neutral mesons and baryons that are harder to distinguish from glueball states at first glance, and there are scores of unclassified particle resonances that are clearly not fundamental particles and appear to be bosons, but whose exact composition is undetermined.
A large number of QCD predicted glueball states have masses that cluster around a quite narrow range of masses, mostly between or near the mass of a charm quark (about 1.3 GeV) and the mass of the next heavier bottom quark (about 4.2 GeV).
For comparison purposes, all mesons are at least 134 MeV and the lighest vector meson is 775 MeV and the heaviest definitively identified meson is 6227 MeV. The proton at 938 MeV is the lightest baryon and the heaviest definitively identified baryon is about 6072 MeV. Theoretically baryons made up of three bottom quarks could have masses of as much as about 15 GeV give or take.
All of these mass estimates flow from conjectures about how mass would be generated in glueballs that have not be experimentally confirmed in a glueball context where some unconsidered factor might play a part.
The current paper on X(3020), a resonance that has been detected with a four sigma significance, argues that it may be easier to match an "excited" heavier mass state with experimental data than the "ground state" of a glueball type, basically because the particle spectrum isn't so crowded in the case of particles with masses in excess of 3 GeV. Even excited states of mesons containing only light quarks (u, d and s) are probably too light to fit the observed particle with the observed decay width although an excited Phi meson isn't entirely ruled out.
Better characterization of the particle could clarify the nature of X(3020). If it is found to be a vector spin particle, it would be the first plausible experimental evidence for such a glueball, as previous hints of possible glueball resonances have focused on only possible spin-0 and spin-2 glueballs.
There are many mesons with zero electromagnetic charge and JPC numbers of 1--. For example, neutral rho, the omega, the phi, the J/Psi, and the upsilon mesons all have these quantum numbers, although the ground states of each of these mesons are mostly far different from 3020 MeV. Only the J/Psi at 3096.91 is even remotely close and the decay patterns observed from X(3020) are inconsistent with those of the J/Psi (which is a meson made of a charm quark and an anti-charm quark).
There are several particles that have been observed to have JPC numbers of 1+- which could be mesons, but not have been well characterized.
There are no massive particles predictive by the Standard Model that have quark components with a tensor spin (J=2) other than tetraquarks, so any particle experimentally observed to have tensor spin would be a very strong candidate for glueball status, since the only other candidates are new fundamental particles.
But, distinguishing a particle with tensor spin from other bosons is a subtle and difficult task experimentally.
One of the most striking predictions of the Standard Model of particle physics not yet confirmed by experiment is the existence of a class of particles called glueballs.
Earlier this year, a new paper (updated today) noted that a particle resonance dubbed X(3020) for its mass of 3.02 GeV in neutral B meson decays that has been observed by the BABAR collaboration is a strong candidate to be the first experimentally observed "glueball."
Nine glueball states predicted by the Standard Model have masses which are predicted to be consistent to within margin of error (due to incomplete calculations and uncertainties in fundamental constant measurements) of 3020 MeV. Three are variations of the excited 2-+ tensor glueball state made of two gluons. Three are variation of the excited 1-- vector glueball state made of three gluons. Three a variation of the excited 1+- vector glueball state made of three gluons.
While confirmation that the particle resonance observed at 3.02 GeV is indeed a glueball would not be as profound as the discovery of the Higgs boson, it would be considerably more profound in terms of what it would mean for our fundamental understanding of physics than the synthesis of a new atomic element or the discovery of a new (QCD predicted) meson or baryon.
Background
Quantum chromodynamics (QCD) is the part of the Standard Model of Particle Physics that described how the nuclear strong force binds six different kinds quarks (up, down, charm, strange, top, bottom), each of which have one of three strong force color charges (often called red, green and blue although the names are purely arbitrary and have nothing to do with the electromagnetic photon frequency based colors of those names). Anti-quarks of each type and color are possible as well. Hence, one might have a blue up quark, or an anti-red strange quark.
Color charge interactions between quarks are transmitted by force carrying particles called gluons, which like photons which transmit the electromagnetic force have zero rest mass. Gluons do not interact via the electromagnetic force that is transmitted by photons, nor by the weak nuclear force that is transmitted by W bosons and Z bosons. There are eight different strong nuclear force color charges for gluons that are possible, normally described as pairs of quark colors (e.g. red-antigreen). Gluons interact with each other via the strong force as well as with color charged quarks.
While gluons have zero rest mass, they do transmit carry energy between quarks and that mass-energy contributes substantially to the mass-energy of mesons and baryons. About 98% of the mass of a proton or neutron (about 1 GeV) comes from the gluon fields binding the quarks together rather than the masses of the three component quarks (about 13 MeV +/- 50%). But, after controlling for the masses of constituent quarks, ground state mesons and baryons with the same spin and electromagnetic charges in the constituent quarks have about the same mass contribution attributable to gluons.
All composite particles observed to date are gluon bound systems quarks: two quarks (mesons), three quarks (baryons such as protons and neutrons), or possibly four quarks (tetraquarks), although the last observation appears to be better explained as a two meson "molecule" rather than a true composite four quark particle
The Prediction
One of the most distinctive predictions of quantum chromodynamics (i.e. nuclear strong force physics) that has yet to be confirmed experimentally is the existence of "glueballs" which would be composite particles made entirely of QCD-color charged gluons without any quarks. QCD predicts a variety of possible glueballs with well defined properties (also, e.g., here and here and here), both in terms of their properties as particles and the kinds of decays that would follow from them. As the paper notes:
The glueball (G) is a bound state that contains no valence quark but gluons only. This is because gluons, which are charged with colors in QCD and force carriers to bind quarks becoming mesons and baryons, can also glue themselves together to form a bound state. Since it is a unique feature purely for the non-Abelian gauge fields, whether the existence of the gluon condensates can be well established or not appears to be a real test for QCD.So far, in the Standard Model, the aphorism that everything that is possible is mandatory, has held up well. But, this is a possibility that has not been detected, although the experimental challenges to detecting glueballs make this lack of a direct observation of them less troubling.
Still, while the issue has attracted very little scholarly attention in the form of proposed theoretical physics models, a model that would rule out glueball states while allowing for the exquisite confirmation of QCD in terms of observed mesons and baryons that are predicted by QCD, would require a major tweak to the Standard Model of Particle physics (such as some new quantum number conservation law) with other consequences (e.g. an implied goldstone boson to correspond to the new symmetry) and implications possible grand unified theories and the like.
Of course, ruling out a prediction of QCD which is so strongly theoretically favored by the Standard Model, despite the fact that QCD is profoundly less precise in its predictions and parameters than the electroweak part of the Standard Model, would call for truly definitive experimental evidence and truly accurate theoretical predictions - so this would be very difficult to prove.
Taxonomy
All glueballs have electromagnetic charges aka Q(e) of zero because all of their component gluons have zero electromagnetic charges.
The various possible glueballs predicted by QCD are described by three quantum number (J, P, and C) and a mass commonly stated in mega-electron volts. All glueballs must be bosons rather than fermions (i.e. must have integer spin). Two gluon glueballs can have J=0 (scalar or pseudo-scalar), or 2 (tensor). Three gluon glueballs can have J=1 (vector) or 3. P and C refer to parity and C-parity in this context (the concepts are rather technical). These three numbers plus a mass (typically stated in MeV/c^2 units) fully describe a particular type of glueball.
QCD allows for various glueball states that have the same JPC quantum numbers but different masses in excited states (meson and baryons can also have excited states).
Glueball Discovery Efforts Have Been Inconclusive
The paper explains that efforts to match experimental data to glueball candidates have been inconclusive so far:
With the predicted mass around 1.7 GeV, the lightest scalar glueball with the quantum number of J P C = 0++ is allowed to mix with nearby qq¯ mesons in the spectrum. Since there are two states, f0(1500) and f0(1710), proposed to be composed of the glueball in different mixing scenarios, the identification is obscure.
The lightest tensor glueball with J P C = 2++ is believed to have a mass close to 1.3 GeV in the MIT bag model and 2.4 GeV in the lattice QCD calculation. For the former, both f2(1270) and f'2'(1525) as the ground states of the 2++ mesons are argued to have the 2++ glueball content, while for the later, fJ(2220) (J = 2 or 4) and f2(2340) are considered to be the candidates, in which the existence of fJ(2220) is still questionable.
Unlike 0++ and 2++, the difficulty to establish the lightest 0−+ pseudoscalar glueball is that the predicted mass around 2.6 GeV in the lattice QCD calculation has no correspondence with the data. Nonetheless, η(1405) seems to be a perfect candidate. Particularly, the unseen in γγ reactions reflects that its components are gluons. In addition, X(1835), measured first in the J/Ψ → γpp¯ decays [15], is another possible glueball state at a mass below 2 GeV. Interestingly, instead of taking the candidates as the pure glueballs, the η − η′ − G and ηc − G mixing scenarios for η(1405) and X(1835) are able to allow their own glueball components to be at least 2 GeV, respectively. Due to the two mixing scenarios, it is not easy to draw a clear conclusion about the glueball state.This conclusion confirms previous reviews of the literature (also here exhaustively reviewing experimental hints to date as of 2013) on the experimental evidence for glueballs.
While there have been hints that particle resonances might be glueballs since 2005, eight years later, the evidence is still inconclusive and this study, while identifying a promising glueball candidate, does not change that assessment. These particles, predicted by the Standard Model, remain elusive.
Experimental Challenges
The trouble is that a particle zoo of mesons, baryons and hypothetical glueballs, many of which have similar properties. There are roughly a hundred ground states of composite mesons and baryons that are possible in QCD and these states have also "excited" state equivalents that are identical in all respects except mass.
Moreover, while some properties of a particle, like its electromagnetic charge, are easy to measure experimentally, others like its spin, charge and parity, can be challenging to reconstruct experimentally.
Any particle with an electromagnetic charge and any particle that behaves like a fermion can't be a glueball.
Distinguishing a glueball from a meson is more challenging. Mesons which are made of two quarks, like glueballs, are always bosons. They can have J=0 (scalar and pseudo-scalar) or can have J=1 (vector).
The ease of measuring electromagnetic charge makes it easy to rule out many of these particles as potential glueballs and to make a first rough sort of potential quark components. But, there are still dozens of potential neutral mesons and baryons that are harder to distinguish from glueball states at first glance, and there are scores of unclassified particle resonances that are clearly not fundamental particles and appear to be bosons, but whose exact composition is undetermined.
A large number of QCD predicted glueball states have masses that cluster around a quite narrow range of masses, mostly between or near the mass of a charm quark (about 1.3 GeV) and the mass of the next heavier bottom quark (about 4.2 GeV).
For comparison purposes, all mesons are at least 134 MeV and the lighest vector meson is 775 MeV and the heaviest definitively identified meson is 6227 MeV. The proton at 938 MeV is the lightest baryon and the heaviest definitively identified baryon is about 6072 MeV. Theoretically baryons made up of three bottom quarks could have masses of as much as about 15 GeV give or take.
All of these mass estimates flow from conjectures about how mass would be generated in glueballs that have not be experimentally confirmed in a glueball context where some unconsidered factor might play a part.
The current paper on X(3020), a resonance that has been detected with a four sigma significance, argues that it may be easier to match an "excited" heavier mass state with experimental data than the "ground state" of a glueball type, basically because the particle spectrum isn't so crowded in the case of particles with masses in excess of 3 GeV. Even excited states of mesons containing only light quarks (u, d and s) are probably too light to fit the observed particle with the observed decay width although an excited Phi meson isn't entirely ruled out.
Better characterization of the particle could clarify the nature of X(3020). If it is found to be a vector spin particle, it would be the first plausible experimental evidence for such a glueball, as previous hints of possible glueball resonances have focused on only possible spin-0 and spin-2 glueballs.
There are many mesons with zero electromagnetic charge and JPC numbers of 1--. For example, neutral rho, the omega, the phi, the J/Psi, and the upsilon mesons all have these quantum numbers, although the ground states of each of these mesons are mostly far different from 3020 MeV. Only the J/Psi at 3096.91 is even remotely close and the decay patterns observed from X(3020) are inconsistent with those of the J/Psi (which is a meson made of a charm quark and an anti-charm quark).
There are several particles that have been observed to have JPC numbers of 1+- which could be mesons, but not have been well characterized.
There are no massive particles predictive by the Standard Model that have quark components with a tensor spin (J=2) other than tetraquarks, so any particle experimentally observed to have tensor spin would be a very strong candidate for glueball status, since the only other candidates are new fundamental particles.
But, distinguishing a particle with tensor spin from other bosons is a subtle and difficult task experimentally.
Tuesday, October 8, 2013
An Ancient Love Story
Over 3800 years ago, a young male, possibly born in Skåne [in Southern Sweden], made a journey of over 900 kilometers south, to Wroclaw in Poland. He died violently in Wroclaw, killed by Úněticean farmers, possibly due to romance with two local females, who were murdered together with him. This "Bronze Age love story", with no happy end today is the first case of Swedish-Polish contacts in history ever.From here quoting archaeologist Dalia Pokutta's thesis.
Thursday, October 3, 2013
City of Idu Discovered in Iraqi Kurdistan
A new archaeological find in Iraqi Kurdistan has unearthed the ancient city of Idu complete with cuniform inscriptions (which are understood from previous work in the region) including local king lists, and artwork. Politics have kept the region largely unexplored for decades until now.
The site was occupied as far back as the Neolithic period, when farming first appeared in the Middle East, and the city reached its greatest extent between 3,300 and 2,900 years ago. . . . [Some of the structures found] may date to relatively late in the city’s life, perhaps around 2,000 years ago when the Parthian Empire controlled the area. . . .
The city thrived between 3,300 and 2,900 years ago, said Cinzia Pappi, an archaeologist at the Universität Leipzig in Germany. At the start of this period, the city was under the control of the Assyrian Empire and was used to administer the surrounding territory. Later on, as the empire declined, the city gained its independence and became the center of a kingdom that lasted for about 140 years, until the Assyrians reconquered it.
Subscribe to:
Comments (Atom)
