Tuesday, July 25, 2023

A Review Regarding Inferred Dark Matter and MOND in Galaxies

This is a Physics Forum post I made recently, with some minor edits:

Could you suggest some papers that show how dark matter varies between galaxies?

What Kinds of Galaxies Exist?

As background from the March 2008 issue of Science News, galaxies seem to be fundamentally divided into two types based upon weight (citations omitted):
Astronomers have known since the 1920s that the modern-day universe consists mainly of two galaxy types—young-looking, disk-shaped spirals like the Milky Way, and elderly, football-shaped ellipticals. Ellipticals have a reddish tinge—an indication that they are old and finished forming stars long ago—while spirals have a bluish tinge, a sign of recent star formation.

A few years ago, researchers found that in the universe today, these two populations divide sharply by weight. An analysis of the Sloan Digital Sky Survey, which has recorded about 1 million nearby galaxies of the northern sky, revealed that the "red and dead" ellipticals nearly always tip the scales at masses greater than the Milky Way, while the star-forming spirals fall below that weight. Somehow, star birth was systematically and dramatically quenched in the big guys but proceeded unimpeded in the spiral small-fry.

The puzzle deepened in 2005 when Sandy Faber of the University of California, Santa Cruz, and her colleagues announced that they found the same galactic dichotomy when the universe was 7 billion years old, half its current age.
Our Milky Way galaxy's mass is 1.6 ± 0.5 × 10^11 M⊙ with a disk's characteristic radius of R(d)=17 kpc. Francesco Sylos Labini, et al., "Mass models of the Milky Way and estimation of its mass from the GAIA DR3 data-set" arXiv:2302.01379 (February 2, 2023) (accepted for publication in The Astrophysical Journal).

A new kind of galaxy (ultra diffuse low surface brightness galaxies) were discovered about a decade ago when new kinds of telescopes made it possible to see them. Chris Mihos, Patrick R. Durrell, Laura Ferrarese, John J. Feldmeier, Patrick Côté, Eric W. Peng, Paul Harding, Chengze Liu, Stephen Gwyn, and Jean-Charles Cuillandre "Galaxies at the extremes: Ultra-diffuse galaxies in the Virgo Cluster" (July 24, 2015) (published in ApJ Letters).
Most galaxies have a total mass between  
~ 107 M⊙ and 1012 M⊙. They range in size from a few kiloparsecs, to over one hundred kiloparsecs in diameter. Our own Milky Way contains over 100 billion stars, including our Sun, and the stellar disk extends to about 50 kpc in diameter. The spherical stellar halo extends up to 100 kpc. . . .  
Galaxies are classified according to how they appear . . . the most common classification scheme in use today is the Hubble classification scheme. Galaxies can be classified into the following broad categories, although there are many sub-catagories within each classification:   
EllipticalSpiralIrregular, and Dwarf galaxies.
(Source for quote above. A kiloparsec is about 3,262 light years. M⊙ is the mass of our Sun.)

The largest galaxies that have been observed are

elliptical galaxies with masses up to about 1013 M⊙.

Another category of galaxies is the lenticular galaxy type:
A lenticular galaxy (denoted S0) is a type of galaxy intermediate between an elliptical (denoted E) and a spiral galaxy in galaxy morphological classification schemes. It contains a large-scale disc but does not have large-scale spiral arms. Lenticular galaxies are disc galaxies that have used up or lost most of their interstellar matter and therefore have very little ongoing star formation. They may, however, retain significant dust in their disks. As a result, they consist mainly of aging stars (like elliptical galaxies). Despite the morphological differences, lenticular and elliptical galaxies share common properties like spectral features and scaling relations. Both can be considered early-type galaxies that are passively evolving, at least in the local part of the Universe.

The mix of galaxy types is as follows:
  • 10% elliptical.
  • 20% S0 (lenticular)
  • 60% spiral.
  • 10% irregular or peculiar.

Trends Regarding Relative Ordinary Matter And Inferred DM

Spiral galaxies have smaller proportions of ordinary matter than elliptical galaxies in same sized inferred dark matter (DM) halos.

We make an inventory of the baryonic and gravitating mass in structures ranging from the smallest galaxies to rich clusters of galaxies. We find that the fraction of baryons converted to stars reaches a maximum between M500 = 1E12 and 1E13 Msun, suggesting that star formation is most efficient in bright galaxies in groups. The fraction of baryons detected in all forms deviates monotonically from the cosmic baryon fraction as a function of mass. On the largest scales of clusters, most of the expected baryons are detected, while in the smallest dwarf galaxies, fewer than 1% are detected. Where these missing baryons reside is unclear.

Stacy S. McGaugh, James M. Schombert, W.J.G. de Blok, Matthew J. Zagursky, "The Baryon Content of Cosmic Structures" (November 13, 2009) arXiv:0911.2700 (published in ApJ Lettters).

[A]t equal luminosity, flattened medium-size elliptical galaxies are on average five times heavier than rounder ones, and . . . the non-baryonic matter content of medium-size round galaxies is small. 
A. Deur, "A correlation between the dark content of elliptical galaxies and their ellipticity" arXiv:2010.06692 (October 13, 2020) (the paper details the analysis of the results published in MNRAS 438, 2, 1535 (2014) reporting an empirical correlation between the ellipticity of elliptical galaxies and their dark matter content).

One of the original predictions of MOND in 1983 was that low surface brightness dwarf galaxies would have proportionately high levels of inferred dark matter where the external field effect was not present and almost no inferred dark matter where the external field effect is present. Data collected since then has proved to be consistent with this prediction. This was not predicted by dark matter models at the time.

Similarly, one of the predictions of MOND is the ultra compact dwarf galaxies will have no apparent dark matter and will behave as Newtonian dynamics predict. In contrast, traditional dark matter theory doesn't definitively predict any particular result for any class of galaxies. Once again, the MOND prediction has been proven correct.
Also, any of the papers that clearly demonstrates MOND performs better with Tully-Fisher relation?
MOND is mathematically equivalent to the baryonic Tully-Fischer relation, and that phenomenological scaling rule is a very good fit to the data. As explained in the articles below, dark matter particle theories struggle greatly to reproduce the baryonic Tully-Fischer relation which is observed in Nature.

Stacy McGaugh, et al., "The Baryonic Tully-Fisher Relation in the Local Group and the Equivalent Circular Velocity of Pressure Supported Dwarfs" arXiv:2109.03251 (September 7, 2021) (Accepted for publication in the Astronomical Journal).

Anastasia A. Ponomareva, et al. "MIGHTEE-HI: The baryonic Tully-Fisher relation over the last billion yearsarXiv:2109.04992 (September 10, 2021) (accepted for publication in MNRAS).

Hengxing Pan, et al., "Measuring the baryonic Tully-Fisher relation below the detection thresholdarXiv:2109.04273 (September 9, 2021) (Accepted for publication in MNRAS).
We carry out a test of the radial acceleration relation (RAR) for a sample of 10 dynamically relaxed and cool-core galaxy clusters imaged by the Chandra X-ray telescope, which was studied in Giles et al. For this sample, we observe that the best-fit RAR shows a very tight residual scatter equal to 0.09 dex. We obtain an acceleration scale of 1.59×10^−9m/s^2, which is about an order of magnitude higher than that obtained for galaxies.  Furthermore, the best-fit RAR parameters differ from those estimated from some of the previously analyzed cluster samples, which indicates that the acceleration scale found from the RAR could be of an emergent nature, instead of a fundamental universal scale.
S. Pradyumna, Shantanu Desai, "A test of Radial Acceleration Relation for the Giles et al Chandra cluster sample" arXiv:2107.05845 33 Physics of the Dark Universe 100854 (July 13, 2021). DOI: 10.1016/j.dark.2021.100854

Antonino Del Popolo, "SPARC HSBs, and LSBs, the surface density of dark matter haloes, and MOND" arXiv:2303.16658 (March 29, 2023) (Physics of the Dark Universe Volume 40, May 2023, 101203) (comparing an assumption of constant surface density of dark matter with MOND without proposing a mechanism for dark matter to have constant surface density).
The more we go deep into the knowledge of the dark component which embeds the stellar component of galaxies, the more we realize the profound interconnection between them. We show that the scaling laws among the structural properties of the dark and luminous matter in galaxies are too complex to derive from two inert components that just share the same gravitational field.  In this paper we review the 30 years old paradigm of collisionless dark matter in galaxies. We found that their dynamical properties show strong indications that the dark and luminous components have interacted in a more direct way over a Hubble Time. The proofs for this are the presence of central cored regions with constant DM density in which their size is related with the disk length scales. Moreover we find that the quantity ρDM(r,L,RD)ρ⋆(r,L,RD) shows, in all objects, peculiarities very hardly explained in a collisionless DM scenario.
Paolo Salucci and Nicola Turini, "Evidences for Collisional Dark Matter In Galaxies?" (July 4, 2017).
The distribution of the non-luminous matter in galaxies of different luminosity and Hubble type is much more than a proof of the existence of dark particles governing the structures of the Universe. Here, we will review the complex but well-ordered scenario of the properties of the dark halos also in relation with those of the baryonic components they host. Moreover, we will present a number of tight and unexpected correlations between selected properties of the dark and the luminous matter. Such entanglement evolves across the varying properties of the luminous component and it seems to unequivocally lead to a dark particle able to interact with the Standard Model particles over cosmological times. This review will also focus on whether we need a paradigm shift, from pure collisionless dark particles emerging from "first principles", to particles that we can discover only by looking to how they have designed the structure of the galaxies.
Paolo Salucci, "The distribution of dark matter in galaxies" (November 21, 2018) (60 pages, 28 Figures ~220 refs. Invited review for The Astronomy and Astrophysics Review).
Well known scaling laws among the structural properties of the dark and the luminous matter in disc systems are too complex to be arisen by two inert components that just share the same  gravitational field.  This brings us to critically focus on the 30-year-old paradigm, that, resting on a priori knowledge of the nature of Dark Matter (DM), has led us to a restricted number of scenarios, especially favouring the collisionless Λ Cold Dark Matter one. Motivated by such observational evidence, we propose to resolve the dark matter mystery by following a new Paradigm: the nature of DM must be guessed/derived by deeply analyzing the properties of the dark and luminous mass distribution at galactic scales. The immediate application of this paradigm leads us to propose the existence of a direct interaction between Dark and Standard Model particles, which has finely shaped the inner regions of galaxies.
Paolo Salucci, Nicola Turini, Chiara Di Paolo, "Paradigms and Scenarios for the Dark Matter Phenomenon" arXiv:2008.04052 (August 10, 2020).
We find that, at outer parts for a typical galaxy, the rotation curve calculated with our fitted density profile is much lower than observations and those based on simulations, including the NFW profile. This again verifies and strengthen the conclusions in our previous works: in ΛCDM paradigm, it is difficult to reconcile the contradictions between the observations for rotation curves and strong gravitational lensing.
Lin Wang, Da-Ming Chen, Ran Li "The total density profile of DM halos fitted from strong lensing" (July 31, 2017). As the body text of this paper explains:
It is now well established that, whatever the manners the baryon effects are included in the collisionless CDM N-body cosmological simulations, if the resultant density profiles can match the observations of rotation curves, they cannot simultaneously predict the observations of strong gravitational lensing (under- or over-predict). And for the case of typical galaxies, the reverse is also true, namely, the SIS profile preferred by strong lensing cannot be supported by the observations of rotation curves near the centers of galaxies.
Dark matter distributions closely track baryon distributions, even though there is no viable mechanism to do so. Edo van Uitert, et al., "Halo ellipticity of GAMA galaxy groups from KiDS weak lensing" (October 13, 2016).
[T]he literature is littered with failed attempts to reproduce the Tully-Fisher relation in a cold dark matter-dominated universe. Direct galaxy formation simulations, for example, have for many years consistently produced galaxies so massive and compact that their rotation curves were steeply declining and, generally, a poor match to observation. Even semi-analytic models, where galaxy masses and sizes can be adjusted to match observation, have had difficulty reproducing the Tully-Fisher relation, typically predicting velocities at given mass that are significantly higher than observed unless somewhat arbitrary adjustments are made to the response of the dark halo.
L.V. Sales, et al., "The low-mass end of the baryonic Tully-Fisher relation" (February 5, 2016). This paper manages to simulate the Tully-Fisher relation only with a model that has sixteen parameters carefully "calibrated to match the observed galaxy stellar mass function and the sizes of galaxies at z = 0" and "chosen to resemble the surroundings of the Local Group of Galaxies", however, and still struggles to reproduce the one parameter fits of the MOND toy-model from three decades ago. Any data set can be described by almost any model so long as it has enough adjustable parameters.

Dark matter can't explain bulge formation in galaxies. Alyson M. Brooks, Charlotte R. Christensen, "Bulge Formation via Mergers in Cosmological Simulations" (12 Nov 2015).
Evidence that Cold Dark Matter (ΛCDM), CDM+ baryons and its proposed tailored cures do not work in galaxies is staggering, and the CDM wimps (DM particles heavier than 1 GeV) are strongly  disfavoured combining theory with galaxy astronomical observations.
P.L. Biermann, H.J. de Vega, N.G. Sanchez, "Highlights and Conclusions of the Chalonge Meudon workshop 2012: warm dark matter galaxy formation in agreement with observations" arXiv:1305.7452v2 (June 26, 2013) (from the body text at https://arxiv.org/pdf/1305.7452v2.pdf).

The body text of the following article explains:
Dwarf galaxy rotation curves are challenging to reproduce in the standard Lambda Cold Dark Matter (LCDM) cosmogony. In some galaxies, rotation speeds rise rapidly to their maximum value, consistent with the circular velocity curves expected of cuspy LCDM halos. In others, however, rotation speeds rise more slowly, revealing large “inner mass deficits” or “cores” when compared with LCDM halos (e.g., de Blok 2010).  This diversity is unexpected in LCDM, where, in the absence of modifications by baryons, circular velocity curves are expected to be  simple, self-similar functions of the total halo mass (Navarro et al. 1996b, 1997; Oman et al. 2015). . . . the relation between baryon surface density and rotation curve shape is quite weak in the dwarf galaxy regime, and thus unlikely to drive the diversity. . . . Our results do show, in agreement with earlier work, that SIDM leads to a wide distribution of rotation curve shapes. However they also highlight the fact that outliers, be they large cores or cuspy systems, are not readily accounted for in this scenario, an issue that was also raised by Creasey et al. (2017). Whether this is a critical flaw of the SIDM scenario, or just signals the need for further elaboration, is still unclear. We end by noting that the rather peculiar relation between inner baryon dominance and rotation curve shapes could be naturally explained if non-circular motions were a driving cause of the diversity. For this scenario to succeed, however, it would need to explain why such motions affect solely low surface brightness galaxies, the systems where the evidence for “cores” is most compelling. . . . Until then, we would argue that the dwarf  galaxy rotation curve diversity problem remains, for the time being, open.

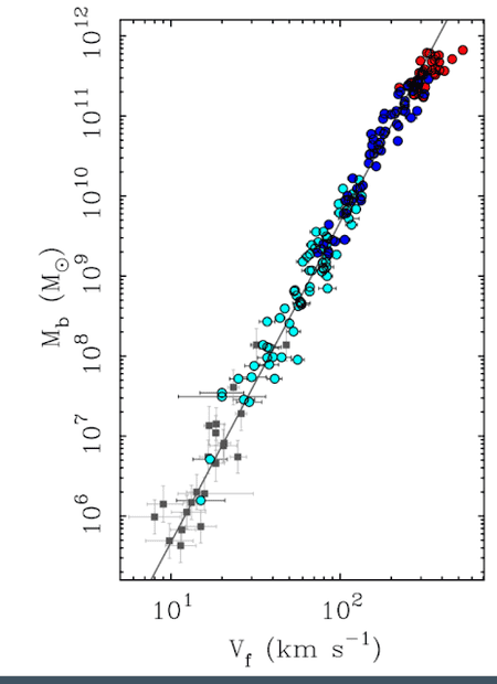
The image below is a plot of the Tully-Fischer scaling law (shown by the solid line) against the galaxy mass and rotation speed data points (in some cases, with one standard deviation error bars shown). The chart spans

six orders of magnitude, from 106 solar masses at the bottom (about the mass of Sgr A*, the black hole at the center of the Milky Way galaxy, which has an event horizon radius of 0.126 millionth of a light year) 

to 1012 solar masses (very massive galaxies), which is the entire range of observed galaxy sizes.

The colors reflect different galaxy types (dark blue points are star dominated galaxies; light blue points are galaxies with more mass in gas than in stars; the red points are very massive “super” spirals; gray squares are Local Group dwarfs):

1690227021065.png

(Source for image). The fall off outliers in the super spirals may be related to an issue related to how the rotation velocity should be measured in these galaxies.

10 comments:

Ryan said...

How does MOND explain galaxies like this?

https://www.livescience.com/physics-mathematics/dark-matter/bizarre-relic-galaxy-is-missing-a-key-component-of-the-universe-and-scientists-are-stumped?utm_source=facebook.com&utm_content=livescience&utm_medium=social&utm_campaign=socialflow&fbclid=IwAR2DD55EAYJw5mZoipEv7Jps6J8roGntFxWuoqNNBMBJ5AM-iGNMzE5aNPc

Mitchell said...

In the paper

https://www.aanda.org/articles/aa/full_html/2023/07/aa46291-23/aa46291-23.html

they say

"a radius R = 13 kpc should be explored to be able to probe the fully Milgromian regime. This is about twice the radius that we cover and therefore our data do not permit studying the Milgromian regime"

andrew said...

Mitchell beat me to it. https://www.aanda.org/articles/aa/full_html/2023/07/aa46291-23/aa46291-23.html

Basically, compact galaxies shouldn't have inferred DM phenomena in MOND (as noted in this post) and this is a compact galaxy. So, while it is a problem for DM theories and the paper spends a lot of time trying to figure out how it could happen, it isn't a problem for MOND.

Ryan said...

Neat, thanks!

Matt Meson said...

Hi Andrew, great work. I just read an old past blog post of yours. How did you get 250.3 GeV? Very confused how you came up with that energy. Thanks

https://dispatchesfromturtleisland.blogspot.com/2012/01/more-higgs-boson-mass-numerology.html?m=0

andrew said...

"One is that experimental indications for the Higgs boson mass in the vicinity of 123-125 GeV are remarkably close to precisely one half of the Higgs field vaccum expectation value of 246 Gev. The other is that experimental indications for the Higgs boson mass are remarkably close to precisely half of the sum of the masses of the W+ boson, the W- boson and the Z boson (or alternatively, the sum of the masses of the W+ boson, the W- boson, the Z boson and the photon, since the photon mass is zero; or alternatively, the sum of the masses of all of the fundamental fermions, since the gluon rest mass is also zero). The sum of these masses is about 250.3 GeV, half of which would be about 125.15 GeV."

The PDG sum of two times the W boson mass (80.377 GeV) plus the Z boson mass (91.1876 GeV) is actually 251.9416 GeV and 250.3 GeV was actually two times the measured value of the Higgs boson mass at the time 125.15 GeV. I got a bit muddled in making that post.

The hypothesized relationship was 2H=2W+Z, on the theory that a Higgs boson might be half of a superposition of the four electroweak force gauge bosons (the W+, W-, Z and the photon).

The discrepancy is that the sum of the parts is about 1.64 GeV greater than the combined amount which would be possible with negative binding energy (which is seen in some atomic nuclei), but hasn't gone anywhere as a theory.

Another hypothesized relationship which is that the Higgs boson mass is half of the Higgs vacuum expectation value (i.e. about 123 GeV) has also not held up.

The relationship which does still hold at the two sigma level given measurement uncertainty (mostly in the top quark and Higgs boson masses) so far, is that the sum of the squares of the Standard Model fundamental particle masses is equal to the square of the Higgs vacuum expectation value of about 246 GeV. Using the beset fit values, the sum of the SM fundamental particles squared is about 0.5% less than the square of the Higgs vev.

If the fit is exact, then the best fit values of the top quark mass of 172.69 ± 0.3 GeV and/or the Higgs boson mass of 125.25 ± 0.17 GeV are a bit lower than the true values, but could still be within two sigma of combined variation of their best fit values.

FWIW, the sum of the SM fundamental fermion masses is close to, but a little less than half of the Higgs vev squared, and the sum of the SM fundamental boson masses is also close to, but a little more than, half of the Higgs vev squared, with the discrepancies mostly canceling out.

andrew said...

The other possibility consistent with the last hypothesis would be that some of the discrepancy could be due to one or more omitted SM fundamental particles. If it was one particle missing, and the best fit values were perfect, the mass would be about 17.9 GeV. This possibility is soundly excluded by experimental data, however, for any particle that interacts via the weak, strong, or EM force, or for a collisionless dark matter candidate. Higgs boson decay data likewise strongly disfavor this possibility for a particle that couples proportionately to mass to the Higgs field.

andrew said...

If the last relationship had been used to predict the Higgs boson mass with other best fit data it would have predicted a Higgs boson mass of 126.52 GeV, which is 1.27 GeV too high.

The Higgs boson mass prediction would be spot on and the relationship would hold perfectly, however, if the top quark mass were 173.62 GeV, which is a 3.1 sigma tension by itself, but if the Higgs boson mass was a bit higher requiring a smaller top quark mass to fit, this tension wouldn't be as bad.

andrew said...

The uncertainties that the SM fundamental fermions other than the top quark and the W and Z bosons and the uncertainty in the Higgs vev contribute to the uncertainty in this relationship are immaterial and utterly dwarfed by the uncertainties in the top quark and Higgs boson masses, despite the fact that the top quark mass of the lowest percentage uncertainty of the quarks, and the fact that the Higgs boson percentage uncertainty of one part per 736.8 is actually pretty good. Uncertainties in larger values get magnified when you are using the squares of the values.

andrew said...

The ultracompact galaxy link above seems to be broken. A 2005 paper had already confirmed this prediction. https://arxiv.org/abs/astro-ph/0504051