Monday, July 31, 2023

The Ancestors Of Northwest Africans

The genetic forebears of Northwest Africans are Iberian and Levantine first farmers, and earlier European and Middle Eastern hunter-gatherers. Sub-Saharan introgression eventually came later, not sooner than the metal ages.
In northwestern Africa, lifestyle transitioned from foraging to food production around 7,400 years ago but what sparked that change remains unclear. Archaeological data support conflicting views: (1) that migrant European Neolithic farmers brought the new way of life to North Africa or (2) that local hunter-gatherers adopted technological innovations. The latter view is also supported by archaeogenetic data. 

Here we fill key chronological and archaeogenetic gaps for the Maghreb, from Epipalaeolithic to Middle Neolithic, by sequencing the genomes of nine individuals (to between 45.8- and 0.2-fold genome coverage). 
Notably, we trace 8,000 years of population continuity and isolation from the Upper Palaeolithic, via the Epipaleolithic, to some Maghrebi Neolithic farming groups. However, remains from the earliest Neolithic contexts showed mostly European Neolithic ancestry. We suggest that farming was introduced by European migrants and was then rapidly adopted by local groups. During the Middle Neolithic a new ancestry from the Levant appears in the Maghreb, coinciding with the arrival of pastoralism in the region, and all three ancestries blend together during the Late Neolithic. Our results show ancestry shifts in the Neolithization of northwestern Africa that probably mirrored a heterogeneous economic and cultural landscape, in a more multifaceted process than observed in other regions.
Luciana G. Simões, et al., "Northwest African Neolithic initiated by migrants from Iberia and Levant" Nature (June 7, 2023) (open access). Razib Khan summarizes the results as follows:
Basically, the ancestors of the Berbers seem to be a mix of indigenous people whose ancestors were Eurasians who arrived during the Last Glacial Maximum, Early European Farmers (Anatolian) and Levantine farmers/pastoralists, in that order of timing, but reverse order of contribution. To me it is interesting that there is no Sub-Saharan African ancestry in the earliest populations, indicating that the Sahara was really not habitable for humans for much of the Ice Age.

How Did India's Linguistically Austroasiatic Khasi People End Up With Tibeto-Burman Genetics?


The Khasic languages are most closely related to the Austroasiatic Palaungic language of Myanmar, and the Khumic language of Northern Laos.

The Khasi people of Northeast India speak an Austroasiatic language, but one that is in a different subfamily than India's Munda speakers and the Mon-Khemer people of Southeast Asia. Yet, genetically they are more similar to Tibeto-Burman language family speakers. 

This is because their linguistic ancestors admixed with a first wave of Tibeto-Burman people resulting in their adoption of the Khasi language. But, they lack genetic traces of a second wave of Tibeto-Burman language speakers whose language replaced that of the Austroasiatic languages in the peoples they encountered.

Northeast India, with its unique geographic location in the midst of the Himalayas and Bay of Bengal, has served as a passage for the movement of modern humans across the Indian subcontinent and East/Southeast Asia. 
In this study we look into the population genetics of a unique population called the Khasi, speaking a language (also known as the Khasi language) belonging to the Austroasiatic language family and residing amidst the Tibeto-Burman speakers as an isolated population. The Khasi language belongs to one of the three major broad classifications or phyla of the Austroasiatic language and the speakers of the three sub-groups are separated from each other by large geographical distances. The Khasi speakers are separated from their nearest Austroasiatic language-speaking sub-groups: the “Mundari” sub-family from East and peninsular India and the “Mon-Khmers” in Mainland Southeast Asia. 
We found the Khasi population to be genetically distinct from other Austroasiatic speakers, i.e. Mundaris and Mon-Khmers, but relatively similar to the geographically proximal Tibeto Burmans. The possible reasons for this genetic-linguistic discordance lie in the admixture history of different migration events that originated from East Asia and proceeded possibly towards Southeast Asia. 
We found at least two distinct migration events from East Asia. While the ancestors of today’s Tibeto-Burman speakers were affected by both, the ancestors of Khasis were insulated from the second migration event. Correlating the linguistic similarity of Tibeto-Burman and Sino-Tibetan languages of today’s East Asians, we infer that the second wave of migration resulted in a linguistic transition while the Khasis could preserve their linguistic identity.
Debashree Tagore, et al., "Multiple migrations from East Asia led to linguistic transformation in NorthEast India and mainland Southeast Asia" Front. Genet. (October 11, 2022). The body text of the introduction provides more background about the Khasi people and the current understanding of their potential origins prior to this paper:
The Khasis are one of the few populations in the world that follow a matrilineal system of inheritance. Besides the linguistic similarity, anthropologists and archaeologists have established that the Khasis have cultural similarities with Mundaris and Mon-Khmer populations. It has been shown that they share similar stone tools and have similar death rituals of erecting memorial stones for the deceased (Gurdon 1914). Linguistically, the Khasi language is more similar to languages of the Mon-Khmer branch than those of the Mundari branch and linguists have often assigned Khasi and Mon-Khmer languages to the same group (Pinnow et al., 1942; Chazée 1999). Khasi language also bears lexical and morphological similarities to some Tibeto Burman languages (Longmailai 2015). Peiros suggested a significant number of words were similar between Proto Austroasiatics and Proto-Sino-Tibetans (Peiros 2011).

Nevertheless, the presence of ancient Austroasiatics (AA) speakers across NEI still remains a possibility. Our previous study (Tagore et al., 2021) on autosomal data of the Mundari and Mon-Khmer Austroasiatics indicated that in pre-Neolithic times, the ancestors of today’s Austroasiatic speakers had a widespread distribution possibly extending from Central India to Southeast Asia (SEA), further supported by Lipson et al. (2018). They were later in time fragmented and isolated to small pockets resulting in their present-day disjoint geographic distribution. What is intriguing is that given the widespread distribution of Austroasiatic speakers from Central India to SEA across NEI and the central location of the Khasis, it is possible that the Khasis will serve as a genetic link between the two Austroasiatic groups on either side of NEI.

There have been very few studies on the genetics of Khasi, so as to reach any plausible conclusions. One previous study on uniparental markers has proposed a genetic continuity between the Mundari Austroasiatics of Central India, Khasi-Khmuic, and Mon-Khmer (Reddy et al., 2007). Using multidimensional scaling of the pairwise FST distances calculated on Y-haplogroups of Austroasiatics and neighboring populations, they found the three Austroasiatic groups (Mundari, Khasi-Khmuic, and Mon-Khmer) to cluster together. They also found the Y haplogroup O-M95, restricted within the Austroasiatics and postulated to have originated in the Mundaris, is present in the Khasis at a frequency intermediate to that of Mundaris and Mon-Khmers. They suggested an initial presence of Austroasiatics in Central India with rapid migration to Southeast Asia via the Northeast corridor carrying the O-M95 haplogroup.

Wikipedia has this to say about the Khasi people in its introduction:

The Khasi people are an ethnic group of Meghalaya in north-eastern India with a significant population in the bordering state of Assam, and in certain parts of Bangladesh. Khasi people form the majority of the population of the eastern part of Meghalaya, that is Khasi Hills, constituting 78.3% of the region's population, and is the state's largest community, with around 48% of the population of Meghalaya. They are among the few Austroasiatic-speaking peoples in South Asia. The Khasi tribe holds the distinction of being one of the few remaining matriarchal tribes of the world. Under the Constitution of India, the Khasis have been granted the status of Scheduled Tribe.
 India1,427,711 
      Meghalaya1,382,278
      Assam34,558
 Bangladesh85,120

About 1 million of the roughly 1.5 million Khasi people speak the Khasi language.

About 98.5% of the Khasi are either Christian (83.1%), mostly Catholic and Presbyterian, or adhere to their own indigenous Niam Khasi religion (15.4%) which has some similarities to deism. About 0.7% are Hindus, about 0.5% are atheists, and the remaining 0.3% include similar numbers of Buddhists and Muslims.

Yakut Epigenetics

Life in Siberia ages you faster than life in more mild places. Your body also adapts to these conditions at an epigenetic level in these places.
Yakuts are one of the indigenous populations of the subarctic and arctic territories of Siberia characterized by a continental subarctic climate with severe winters, with the regular January average temperature in the regional capital city of Yakutsk dipping below −40°C. 
The epigenetic mechanisms of adaptation to such ecologies and environments and, in particular, epigenetic age acceleration in the local population have not been studied before. This work reports the first epigenetic study of the Yakutian population using whole blood DNA methylation data, supplemented with the comparison to the residents of Central Russia. 
Gene set enrichment analysis revealed, among others, geographic region-specific differentially methylated regions associated with adaptation to climatic conditions (water consumption, digestive system regulation), aging processes (actin filament activity, cell fate), and both of them (channel activity, regulation of steroid and corticosteroid hormone secretion). Further, it is demonstrated that the epigenetic age acceleration of the Yakutian representatives is significantly higher than that of Central Russia counterparts. For both geographic regions, we showed that epigenetically males age faster than females, whereas no significant sex differences were found between the regions.
Alena Kalyakulina, et al., "Epigenetic features of far northern Yakutian population" bioRxiv (July 21, 2023).
https://doi.org/10.1101/2023.07.19.549706

The Antiquity Of Indo-European Languages Is Still Overstated


The language family began to diverge from around 8,100 years ago, out of a homeland immediately south of the Caucasus. One migration reached the Pontic-Caspian and Forest Steppe around 7,000 years ago, and from there subsequent migrations spread into parts of Europe around 5,000 years ago according to P. Heggarty et al., Science (2023)
A pair of new papers are out on the origins of the Indo-European languages, like previous papers by Russel Gray, the estimate of an 8,100 year origin for the language family is too old. The main problem is a misinterpretation of the genetic and anthropological data, especially related to the Anatolian languages. The notion that the Indo-European languages have a source in the Caucuses or in Anatolia or points south of it don't hold water. 

As noted by a comment at Language Log:
[T]his article seems similar to the piece in Science with Quentin Atkinson from 2012, corrected in response to some of the criticism by linguists (eg. Romani has apparently been removed from the list of languages), but not citing the book by Pereltsvaig and Lewis which was the best single source for that criticism[.]

Atkinson and Gray are academic colleagues in New Zealand. 

The Anatolian languages look diverged from the other Indo-European languages, and hence look old, because of language contact effects with substrate languages very different from those present in the formative periods of the other Indo-European languages. 

Gray's models too heavily emphasize a hypothetical random mutation rate and greatly underestimate how much language change is due to language contact. If you are Iceland with very little language contact, you can still read 10th century Iceland texts today. If you are a language experiencing lots of language contract, like England, anything you read before the 15th century is incomprehensible.

There is no convincing historical, archaeological, or genetic evidence of any Indo-European presence in Anatolia much before 2000 BCE, despite the existence of literate cultures in that region at that time. But, there is strong archaeological and historical evidence of a migration of Indo-European people into Anatolia around 2000 BCE. There is no evidence of a steppe genetic signature in Anatolia on a large scale before then. There is also no relationship between the Indo-European languages and the languages that were present in the alleged region of their origin in the right time frame.

Likewise, there is no convincing archaeological or genetic evidence of an origin for the Indo-European languages in the Caucuses.

The new papers are (hat tip to Language Log): 

"New Insights into the Origin of the Indo-European Languages. Linguistics and genetics combine to suggest a new hybrid hypothesis for the origin of the Indo-European languages." Max-Planck-Gesellschaft (7/27/23).

PhysOrg, July 27, 2023. Discussing "Language Trees with Sampled Ancestors Support a Hybrid Model for the Origin of Indo-European Languages." Heggarty, Paul et al. Science 381, no. 6656 (July 28, 2023): eabg0818.

The front material of one of them is as follows:
Précis

An international team of linguists and geneticists led by researchers from the Max Planck Institute for Evolutionary Anthropology in Leipzig has achieved a significant breakthrough in our understanding of the origins of Indo-European, a family of languages spoken by nearly half of the world’s population.
Introduction

For over two hundred years, the origin of the Indo-European languages has been disputed. Two main theories have recently dominated this debate: the ‘Steppe’ hypothesis, which proposes an origin in the Pontic-Caspian Steppe around 6000 years ago, and the ‘Anatolian’ or ‘farming’ hypothesis, suggesting an older origin tied to early agriculture around 9000 years ago. Previous phylogenetic analyses of Indo-European languages have come to conflicting conclusions about the age of the family, due to the combined effects of inaccuracies and inconsistencies in the datasets they used and limitations in the way that phylogenetic methods analyzed ancient languages.

To solve these problems, researchers from the Department of Linguistic and Cultural Evolution at the Max Planck Institute for Evolutionary Anthropology assembled an international team of over 80 language specialists to construct a new dataset of core vocabulary from 161 Indo-European languages, including 52 ancient or historical languages. This more comprehensive and balanced sampling, combined with rigorous protocols for coding lexical data, rectified the problems in the datasets used by previous studies. 
Indo-European estimated to be around 8100 years old

The team used recently developed ancestry-enabled Bayesian phylogenetic analysis to test whether ancient written languages, such as Classical Latin and Vedic Sanskrit, were the direct ancestors of modern Romance and Indic languages, respectively. Russell Gray, Head of the Department of Linguistic and Cultural Evolution and senior author of the study, emphasized the care they had taken to ensure that their inferences were robust. “Our chronology is robust across a wide range of alternative phylogenetic models and sensitivity analyses”, he stated. These analyses estimate the Indo-European family to be approximately 8100 years old, with five main branches already split off by around 7000 years ago.

These results are not entirely consistent with either the Steppe or the farming hypotheses. The first author of the study, Paul Heggarty, observed that “Recent ancient DNA data suggest that the Anatolian branch of Indo-European did not emerge from the Steppe, but from further south, in or near the northern arc of the Fertile Crescent — as the earliest source of the Indo-European family. Our language family tree topology, and our lineage split dates, point to other early branches that may also have spread directly from there, not through the Steppe.” 
New insights from genetics and linguistics

The authors of the study therefore proposed a new hybrid hypothesis for the origin of the Indo-European languages, with an ultimate homeland south of the Caucasus and a subsequent branch northwards onto the Steppe, as a secondary homeland for some branches of Indo-European entering Europe with the later Yamnaya and Corded Ware-associated expansions. “Ancient DNA and language phylogenetics thus combine to suggest that the resolution to the 200-year-old Indo-European enigma lies in a hybrid of the farming and Steppe hypotheses”, remarked Gray.

Wolfgang Haak, a Group Leader in the Department of Archaeogenetics at the Max Planck Institute for Evolutionary Anthropology, summarizes the implications of the new study by stating, “Aside from a refined time estimate for the overall language tree, the tree topology and branching order are most critical for the alignment with key archaeological events and shifting ancestry patterns seen in the ancient human genome data. This is a huge step forward from the mutually exclusive, previous scenarios, towards a more plausible model that integrates archaeological, anthropological and genetic findings.”

The Supplemental Materials are here. The figure below is from the Supplemental Materials:

Fig. S6.1 Maximum Clade Credibility (MCC) tree for the tree distribution from Model M3.  This MCC tree corresponds to the DensiTree in Fig. 2 in the main text, summarizing the posterior distribution of trees.  Here, uncertainty in tree topology is represented by the posterior probability shown for each node.  Any branch leading to a node with a posterior probability of less than 0.5 is shown as a dashed line.  Branches that end before the right-hand margin represent non-modern languages, used here as date calibrations.  Colors indicate the established clades of Indo-European, following the same color scheme as in the language map and DensiTree figure in the main text. 

Section 7.7 of the Supplemental Materials notes that:

In our main analysis we apply no ancestry constraints, given the known objections to doing so, in particular to forcing ancient, written register languages to be direct ancestors of modern spoken languages.  Nonetheless, a major previously published paper does apply such ancestry constraints (12), and reports a powerful effect in leading to much shallower estimates of the root depth of the Indo-European family.  

Reference 12, which is a much more credible effort to address Indo-European origins is: W. Chang, C. Cathcart, D. Hall, A. Garrett, "Ancestry-constrained phylogenetic analysis supports the Indo-European steppe hypothesis." Language 91, 194–244 (2015) (link is to the pdf full text). It's abstract states:

The counterfactual conclusions of their model when failing to apply these constraints, noted in Section 7.7 for Latin to Romance languages, classical Armenian as an ancestor of modern Armenian, Mycenaean Greek as an ancestor of Ancient and New Testament Greek, and Old English as an ancestor of modern English, all seriously cast doubt on the soundness of the model. 

Razib Khan has a lengthy commentary at his Gene Expression blog. He too casts doubt on the "Southern Arc" hypothesis that Indo-Europeans were present very early on in Anatolia and the Southern Caucuses:

We have some histories of the Middle Eastern Bronze Age. We know that the area of southwest Iran was dominated by the non-Indo-European Elamites as early as 3000 BC, and these people persisted down into the Common Era. Modern Armenia was dominated by non-Indo-European speaking Urartians after 1000 BC. This language is related to Hurrian, documented 4,000 years ago. Before the Indo-European Hittites ruled Hatti, the Hattians ruled Hatti. And the Hattians were not Indo-European. Judging by the obscure Eteocretan language that persisted into antiquity the Minoans were almost certainly not Indo-European speaking. 
Around 1500 BC it is true the ruling elite of the Hurrians, the Mittani, seem to have had an Indo-Aryan connection, but they were also likely intrusive, and their emergence as mobile warriors suspiciously post-dates the development of the light war chariot and the domestic horse thousands of miles to the north several centuries earlier by the Sintashta. The Assyrian royal annals date the arrival of Persians to the 9th century BC, but the results in the paper imply that the Iranians were already present in the Zagros for thousands of years before this (the south Caucasus being the Indo-European ur-heimat ultimately, the Indo-Iranians moving south and east very early on from that region).
I’m focusing on the Middle East because there is a rich history of textual evidence starting in the third millennium BC. These results imply that Indo-European languages are in fact native to the northern Middle East, in the southern Caucasus. And yet assorted obscure languages like Gutian, Kassite and Kaska, are found where you might expect a stray Indo-European here and there. To me this is curious and weird. Further to the west, these results seem to imply that Greek was brought with Caucasus ancestry, but Minoan was likely not Indo-European. There are all these non-Indo-European languages attested in the textual record…and only a few Indo-European ones (Hittite being the first). . . .
This doesn’t mean the other models don’t have holes, the “Southern Arc” theory is pretty complicated too, and everything would have been “easier” if the Hittites had steppe ancestry, and they do not seem to.

The earliest historically attested appearance of the Hittites is around 2000 BCE in written communications from Akkadian merchants, and this is corroborated by the archaeological evidence. Steppe ancestry appears in Anatolia only after this date. 

With respect to Tocharian he notes:

Tocharian languages were found in the northern and northeast regions of the Tarim basin. Historically, the southern rim of the basin was dominated by Iranian languages. It seems the most likely candidate for the people that gave rise to the Tocharian languages is the Afanasievo culture. The Afanasievo we now know were basically an eastern branch of the Yamnaya that show up in the Altai 3300 BC. This is 5,300 years BP. In the paper, the Tocharian split from other Indo-Europeans 5,400 to 8,600 years BP over a 95% confidence interval. The only way this makes sense to me is if there was deep linguistic structure within the Yamnaya despite overall genetic homogeneity maintained through mate exchange. In the text the authors seem to imply that the Tocharians are an early eastward migration, perhaps from the south Caucasus region. This does not align very well with the ancient DNA. The Afanasievo early on are replica copies of Yamnaya. 

So, again, the linguistic hypothesis of the paper is out of synch with the archaeological and ancient DNA evidence. And there are no well documented examples in historical linguistics of societies that are otherwise as homogeneous and contiguous as the Yamnaya harboring this kind of deep linguistic substructure for thousands of years.

He also comments skeptically on other aspects of the paper:

One of the major points of this paper that contradicts some theories in historical linguistics is a rejection of the tentative connection between Balto-Slavic and Indo-Iranian. Genetically, the curious aspect of the two language families is that Y chromosomal haplogroup R1a is very frequent in both, but differentiated into two lineages that seem to have diverged 5,500-6,000 years ago. But there is more than just Y chromosomes here; over the past decade autosomal genome analyses show that many South Asians, in particular those in the northwest and upper caste populations are enriched for a minority ancestral component that resembles Eastern Europeans. We now know what happened due to ancient DNA: Genetic ancestry changes in Stone to Bronze Age transition in the East European plain. A branch of the Corded Ware Culture (CWC) migrated eastward, becoming the Fatyanovo Culture, then the Balanovo Culture, then the Abeshevo Culture, and finally the Sintashta Culture. The Sintashta seem to have given rise a group of societies known as Andronovo that are hypothesized to evolved into Iranians and Indo-Aryans.

The result here does away with all this. Rather than Indo-Aryan speech being brought by steppe pastoralists between 3,500 and 4,000 years ago, as genetics would imply, the Indo-Aryan speech was likely present during the Indus Valley Civilization. These results imply that Indo-Aryan arrived in India thousands of years before the intrusion of steppe pastoralists, and it was carried eastward by farmers from the Caucasus. The Vedas and Sanskrit then come down from the IVC. And yet strangely the Vedas do not depict a very complex society like the IVC, but a more simple agro-pastoralist one. And, the sacred language of the IVC people presumably, Sanskrit, was maintained in particular by a Brahmin priestly caste that is notable for having a very high fraction of steppe ancestry, that much arrived later.

Again, this linguistic model is simply wrong. The timing of the archaeological evidence and the ancient DNA is indisputable. The inferences that must be made from this evidence to reach historical linguistic conclusions are easy and small ones. But there is simply no narrative consistent with the paper linguistic first based model, which relies on extremely uncertain and ill documented assumptions about how languages evolve over time, that makes any sense.

Razib notes that there are also serious reasons to doubt the claimed timing of the divergence of European subfamilies of the Indo-European languages which archaeological and ancient DNA evidence point to taking place after Corded Ware Culture expansion into Europe: 

A massive issue of this paper is that it makes a hash of a major phenomenon that we know between 3500 and 2500 BC, and that’s the spread of steppe-people in all directions, especially out of the Corded Ware complex
The CWC are notable for having a major admixture of Globular Amphora Culture (GAC) Neolithic ancestry, about 25-35% of their genetics, and then spreading into all directions. As noted by the authors and other observers, ancient DNA suggests that Anatolian, Armenian, and perhaps Greek and Illyrian (Albanian), are exceptions to this, deriving directly from Yamnaya or pre-Yamnaya (in the case of Hittites) Indo-European people (remember, CWC is a mix of Yamnaya and GAC). 
The genetics is very clear that a major wave of post-CWC people went into Asia, and south into the Indian subcontinent and Iran. The Y chromosomes imply this was male mediated, and post-CWC Y chromosomes are found in appreciable quantities as far south as Sri Lanka. But these data place this demographic migration far too late to have been the origin of Sanskrit, which is associated with Arya culture.

As Lazaridis points out on social media, the divergence of European language groups like Germanic, Celtic, Italic and Balto-Slavic also predates the CWC expansion westward. For example, Italic language split off in 3500 BC, 500 years earlier than the expansion of CWC into Eastern Europe, with a 95% lower-bound of 2200 BC, about when steppe ancestry shows up in the Italian peninsula according to ancient DNA. If the dates are true then it seems that the various Indo-European language groups were differentiated already very early on in the Yamnaya, and not later on through their expansion across Europe. In other words, this is a model of “ancient linguistic substructure.”

Rather than letting an unproven and highly uncertain linguistic evolution model set the parameters and try to shoehorn hard and precise archaeological, historical, and ancient DNA evidence into this model's timeline, we using the archaeological, historical, and ancient DNA evidence to calibrate and frame the parameter space of any linguistic evolution model.

We know that Tocharian split from other Indo-European languages around 3300 BCE. We know  that Balto-Slavic and Indo-Iranian split around 3000 BCE to 2500 BCE. We know that the Indo-Aryan languages arrived in South Asia from Central Asia sometime after the collapse of the Harappan culture ca. 2500 BCE to 1500 BCE. We know that the European branches of the Indo-European languages began to differentiate sometime during and after the spread of the Corded Ware Culture in Europe between 3500 and 2500 BCE. We know that the Indo-European languages reach the Italian Peninsula around 2200 BCE. We know that the Anatolian languages arrived in Anatolia around 2200 BCE to 2000 BCE, and that Mycenean Greek arrived in the Aegean at around the same time.

If the linguistic model doesn't match these hard dates then the linguistic model is broken. And, the single biggest factor throwing off the linguistic model is the assumption that because Tocharian (which has little language contact as it expands and is probably the most conservative of the documented Indo-European languages relative to Proto-Indo-European because it had very little language contact) and the Anatolian languages (which had stronger and more diverged substrate influences). As I explain in a comment at Razib's blog post:
Razib, presumably out of politeness, lays the foundation but doesn’t reach the final punchline, which is that the linguistic model is seriously flawed, and that the narrative the flows from trying to shoehorn the linguistic model’s conclusions into the hard evidence from archaeological evidence, historical accounts, and ancient DNA is likewise just plain wrong. We should be using the hard, precisely dated and placed evidence to calibrate the linguistic model instead of the other way around, because the parameters and assumptions of the linguistic model are profoundly less certain in date and in place.

The single biggest driver of the problem with the linguistic model is the assumption that the Anatolian languages, because they are more diverged from the other Indo-European languages, are also the oldest. All other things being equal, that isn’t an unreasonable assumption, but all other things are not equal.

The Neolithic societies of Europe and South Asia in which Indo-European languages replaced pre-existing Neolithic languages were all in a state of abject collapse when the Indo-European language speaking steppe people swept in, so the pre-existing substrate languages had much less of an impact on the Indo-European languages in those places, than in Anatolia. Further, in Europe, all of the substrate Neolithic first farmer languages were part of a single macro-linguistic family derived from the languages of the Western Anatolian source for the first farmers, possible with one major division between the LBK wave along the Danube and other inland river systems, and a Cardial Pottery wave skirting to Northern Mediterranean coast. Some of what we attribute to Proto-Indo-European or to a very basil split on the European side of the Indo-European languages may actually be shared substrate influences from similar languages in this European Neolithic language family (systemically understating the impact of language contact with these languages).

Likewise, in the East, the Indo-Iranian languages probably shared a common Harappan language family substrate.

In contrast, the Anatolian Indo-European languages saw their speakers, especially the Hittites, conquering a much more sophisticated Eneolithic/Early Bronze Age Hattic society whose linguistic predispositions were not so easily swept aside. Even after Hittite became the dominant secular language of the Hittite empire, the non-Indo-European Hattic language survived as a liturgical language akin to church Latin, post-Sumer Sumerian, and ancient Hebrew, for another thousand years, something that happened nowhere else in the Indo-European linguistic region. And, the languages of Anatolia and the Caucasian and Iranian highlands by the metal ages, were very different from the languages of the Western Anatolian Neolithic ancestors of Europe’s first farmers.

The Anatolian languages are more diverged from other Indo-European languages not because they are older, but because there was a stronger substrate influence and the substrate that was the source of the influence was much different. You can read and hear the extent of the influence by comparing Hittite names and words and sentences to their Hattic counterparts (preserved well in large volumes of royal record keeping) and their Minoan counterparts (preserved in phonetic transcriptions in Egyptian texts and what can be guessed at from Linear B writing).

Tocharian seems older than it really is for the opposite reason. Unlike every single other known Indo-European language, it had little or no substrate influence as it expanded into thinly populated regions en route to and in the Tarim Basin. It is probably the most conservative linguistically, kept pure from reduced contract on the frontier in much the same way that Icelandic on the frontier is the closest Germanic language to Old Norse, the same way that the Appalachian dialect of English is the closest the English dialect of Shakespeare as it was isolated on the frontier, and the same way that the Spanish dialect spoken by multigenerational natives of Southern Colorado and New Mexico are the only dialects of Spanish that retain some of its Spanish colonial era archaic words and grammatical constructions in living languages. The shared substrate influences of Western Anatolian Neolithic and Harappan language families on languages that were not Anatolian or Tocharian are absent in Tocharian and that is why it seems more diverged.

New Zealand academic Russell Gray in this paper is repeating the sins of his fellow New Zealander Quentin Atkinson in his 2012 paper in Science. Later work by Atkinson recognized that increasing the amount of language evolution attributed to language contract and decreasing the amount of language evolution attributed to random mutation produced more reasonable estimates of the time depths of the various Indo-European languages. But these lessons were lost on the authors of the current paper. 
The authors of the current paper, instead, forge an utterly unconvincing “Southern Arc” narrative that has to be riddled with exceptions to principles and inferences about ancient DNA markers of Indo-European languages, about the lack of a reason for archaeologically and genetically homogeneous and geographically compact societies to have deep linguistic divides. They remove the climate and other motives of expansion too.
Another comment seen elsewhere on the paper:
They have a systematic error of branch scaling which elongates branches with excessive borrowing (which is especially typical for Indic languages) or have limited knowledge of synonym pairs representing meanings in their dataset (which is common for many ancient languages). Both problems stem from the same computational simplification. Namely, they treat each cognate responsible for the given meaning as an independent binary value (present or absent) while in reality, presence or absence of synonyms for a given meaning are negatively correlated.

Basically in the languages where coevolving synonyms are well attested, a gain or a loss of a synonym will generally have a change value of 1 (1,1 -> 1,0 or vice versa). But in languages with external borrowing or with unknown synonym pairs, any such change would count as 2 (loss of the original cognate plus gain of a new one).

This scaling problem would have inferred even older split dates have it not been artificially limited by setting the upper bound for the age at 10,000 years. In one of the sensitivity analyses they removed this upper bound and ended up with estimates as old as 11 kya.

There is also an important linguistic consideration for the Northern route and against the South Caucasus urheimat, and it is borrowings from IE to neighboring languages. The oldest layer of IE-derived words in the Finno-Ugric languages is thought to be related to proto-Iranian and dated to ~Sintashta epoch in the Ural Mountains. Conversely, Gamkrelidze and Ivanov assembled a great collection of potentially IE-derived words in Kartvelian and Semitic languages but nothing there is convincingly older than Mitanni age.

This issue is discussed in Section 7.10 of the Supplemental Materials which notes that:

Our multistate model produces root age estimates distinctly younger (by 2057 years, or 25.1%) than any produced by the covarion model: 6153 BP (4926–7884 BP). In tree topology, the multistate results show a similar lack of resolution at basal nodes of the phylogeny, although there remains strong support for a European clade of Germanic, Celtic and Italic, and for a nesting of Nuristani within Indic. 

The chart with the difference in methodology (Figure 7.10.2) is:

 

A criticism of the paper at a Substack page can be found here. It opens with this framing:

Advances in genetics, linguistics, and archaeology have eliminated all but two theories of the Indo-European urheimat from consideration. The first theory is Steppe Theory – that the speakers of proto-Indo-European – the last stage of the language prior to its fragmentation into multiple branches – lived on the Pontic Steppe in what is now eastern Ukraine and southern Russia some 5,000 to 6,000 years ago. The second theory is Southern Arc Theory – that proto-Indo-European was spoken within the same time frame, but at an unspecified point between the southeastern Balkans and Azerbaijan.

I haven’t made up my mind on which theory I believe, so I will do my best to lay out their cases and problems. It is notable that they differ little in their understanding of the Bronze Age (roughly 3300 BC and after). Their understandings differ instead in the even more temporally distant Copper Age (roughly 4500 to 3300 BC). . . . 
Most of the Indo-European languages are believed to have fragmented into branches such as Indo-Iranian, Balto-Slavic, Italo-Celtic, Graeco-Armenian, or Germanic during the third millennium BC. However, there were two exceptions. The first is the Tocharian branch, attested in the Tarim Basin of what is now Xinjiang, China in the 1st millennium AD. 
The second is the Anatolian branch - Hittite, Luwian, and Palaic. The Anatolian languages are attested in the second millennium BC in Anatolia – what is now Asiatic Turkey. Both the Anatolian and Tocharian branches appear to have split from the other Indo-European languages prior to 3000 BC – Anatolian possibly even before 4000 BC.

The Anatolian languages have a number of odd features that set them apart from the other early Indo-European languages. They only have a present and a past tense, while other Indo-European languages have as many as six. They lacked a dual, and they had only an animate and neuter case unlike the other Indo-European languages. Additionally, the Hittite (an Anatolian language) word for wheel is not an Indo-European cognate. Wheels were invented and spread in the second half of the fourth millennium BC. As such, the linguistic and archaeological evidence implies that the Anatolian languages diverged from the main Indo-European languages prior to 3500 BC - centuries before the others.

[I note, editorially, that grammatical simplification is a phenomena commonly seen in bilingual communities with lots of language learners as the new language is formed, so the lost of 1-4 temporal tenses and a dual case is consistent with a strong substrate influence, as would a tendency of language learners who speak a substrate language to retain some core vocabulary word's from the substrate language, like "wheel". We know that the "wheel" technology originated on the steppe rather than in Anatolia.] 

Theories of Indo-European origins must account for the existence of the Anatolian languages and their early split from the rest of the language family. The Steppe theory and the Southern Arc theory address it in different ways.

The Steppe theory argues that the Anatolian languages are the product of a very early migration out of the steppe. Riding horses from the Indo-European urheimat in what is now eastern Ukraine, the earliest Anatolian speakers were rich in steppe ancestry, split from their cousins, and invaded the eastern Balkans and Hungary in the late 5th millennium BC. There, they created the Suvorovo and related cultures, spreading the ancestors of the Anatolian languages. The Anatolian-speaking Suvorovo people migrated south centuries later, eventually becoming part of the Ezero Culture in late 4th millennium BC Bulgaria and Thrace. Then, during the chaotic period of the 34th century BC (which, characterized by the invention of the sail, also saw the unification of Egypt and the massive Minoan invasion of Greece), they migrated into northwestern Anatolia. There, the Anatolian languages fragmented. The Luwians remained in western Anatolia, while another group of speakers conquered central Anatolia in the early 2nd millennium and formed the Hittite realm. At each step of the path, the original Steppe ancestry was diluted to the point where it was barely detectable in Anatolia.

[Of course, I am a steppe origin advocate who rejects this narrative.] 

The Southern Arc theory looks at the Anatolian languages differently. The lack of steppe ancestry in over a hundred ancient DNA samples from the Neolithic to Classical Ages shows that steppe penetrations into Anatolia were too minor and too late to have introduced the Anatolian languages to the region. For instance, Classical Age DNA finds in the city of Gordion are only about 4% Steppe in ancestry - even though the city had been ruled by four separate Indo-European groups. Additionally, the steppe ancestry in the Balkans present in the 3rd millennium BC is entirely from the migrations that occurred earlier that millennium. There is no evidence for any pre-3300 BC steppe-ancestry-rich Indo-European groups in the Balkans surviving to a point where they could have potentially migrated to Anatolia.

[This is an important reason why I argue that the Anatolian languages arrived in Anatolia only in about 2000 BCE.]

The Southern Arc offers another explanation for the Anatolian languages. Instead of originating on the steppe, it argues that the Anatolian languages are the remnants of the Indo-European languages that remained in their urheimat in the Southern Arc - a region from the southern Balkans to Azerbaijan - prior to the language ancestral to all of the other branches of Indo-European spreading north across the Caucasus or Black Sea to the steppe. Increases in Caucasian Hunter-Gatherer and Anatolian and Levantine Farmer ancestry in the steppe population at various points between 4500 and 3300 BC could have been the vector that spread the Indo-European languages from the Caucasus to the steppe peoples. After spreading to the steppe, the non-Anatolian Indo-European languages would have been spread across Europe, Central Asia, Iran, and India.

The Southern Arc theory is a great deal less specific than the Steppe theory, and will need to be fleshed out more. It is possible that the Chaff Faced Ware peoples of the southern Caucasus diffused across the Caucasus in the mid-5th millennium, bringing the Indo-European languages with them. It is also possible that the mighty Maykop people, known to have had cultural contacts with the steppe peoples, could have spread the Indo-European languages to their trading partners as a trade language.

In my opinion, the most likely candidates for introducing the Indo-European languages to the steppe peoples (assuming that the Southern Arc Theory is true) are the mysterious pre-Maykop peoples of the North Caucasus. The pre-Maykop peoples of the North Caucasus interacted with the peoples of the Danube Valley across the Black Sea as well as with the peoples of the steppe in the late 5th millennium BC. Copper from the Carpathians made it to the North Caucasus while boar’s tusk pendants and mace heads from the Caucasus made it to the Danube. However, little is known about them, and it is unlikely that much ever will be known about them. They were apparently destroyed by the Maykop people, and likely have no descendants.

There is a third theory, almost invariably promoted by linguists, which argues for a specifically Anatolian origin of the Indo-European languages. While on the surface it resembles the Southern Arc theory, it’s timing is very different. Rather than a proto-Indo-European language that splits between Anatolian and standard Indo-European in the late 5th millennium BC, it instead places the divergence of the Indo-European languages in the mid-7th millennium BC. It associates the spread of the Indo-European languages with the spread of farming from Anatolia, with the Anatolian Farmers and their European cousins, the Early European Farmers.

The Substack article goes on to debunk this theory. 

Another error in the new paper is that it claims that no southward migration of Steppe_MLBA pastoralists is attested by aDNA from BMAC sites in 2300-1700 BCE by citing Narasimhan et al. 2019 stating:

But, the paper cited actually concludes that Steppe_MLBA pastoralists migrated southward from 2100-1700 BCE. The cited paper actually says in the pertinent part:

This kind of basic misstatement of the conclusion of researchers who are relied upon for a thesis in a leading peer reviewed scientific journal is highly unimpressive and just plain sloppy.

Eurogenes adds criticism here.

Thursday, July 27, 2023

Patriarchy In Europe

An new paper takes ancient DNA, radiocarbon dates, and strontium measurements (which are used to determine if people were native to a locale or not) in the context of their burials, from a large sample of about 90 subjects for which this was recoverable, from Neolithic cemetery near modern day Paris (from ca. 4700 BCE to 4300 BCE). 

The paper is Maïté Rivollat, et al., "Extensive pedigrees reveal the social organization of a Neolithic community" Nature (2023) (hat tip to Bernard's blog).

The paper finds that almost everyone in this Neolithic cemetery was a member of one of two families (also grouped by location) that were themselves third or fourth cousins in seven generations of burials spanning a century. The patriarch of the larger family's remains and his wife's remains were relocated to the site, but all of the other bodies, starting in the next generation after him, were buried there in the first place. 

The paper's findings reaffirm a basic fact about the social organization of the first farmers of Europe: The first farmers of Europe were patriarchal and patrilocal.

In other words, adult men lived in the vicinity of their fathers, working the same or nearby land, and generally married women from sufficiently afar to be distinguishable by strontium levels in their remains, who came to live with them. These brides were unrelated to the family of the adult men, a fact that is demonstrated by mtDNA and by autosomal genetics that show that almost all of the adult women were unrelated to all of the other adult women (two of the adult were related to each other in some manner).

An absence of half-siblings in the cemetery also strongly suggests that at least this particular Neolithic community was not polygamous.

This large Neolithic cemetery is a particularly clear example of a patriarchal and patrilocal family system. But the pattern holds not only for essentially all of the first farmers of Europe, but also for the wave of steppe people who replaced most Neolithic men around the time of the early Bronze Age. And, with a handful of notable exceptions or minor introgressions into existing populations, the genetic make up of modern Europe was mostly in place by the end of the Bronze Age at about 1200 BCE.

Patriarchal family organization and patrilocality continued mostly uninterrupted for most of the next three thousand years after Bronze Age collapse. It became less rigid, however, during time periods and in places when forms of economic activity other than farming and herding were important.

Tuesday, July 25, 2023

A Review Regarding Inferred Dark Matter and MOND in Galaxies

This is a Physics Forum post I made recently, with some minor edits:

Could you suggest some papers that show how dark matter varies between galaxies?

What Kinds of Galaxies Exist?

As background from the March 2008 issue of Science News, galaxies seem to be fundamentally divided into two types based upon weight (citations omitted):
Astronomers have known since the 1920s that the modern-day universe consists mainly of two galaxy types—young-looking, disk-shaped spirals like the Milky Way, and elderly, football-shaped ellipticals. Ellipticals have a reddish tinge—an indication that they are old and finished forming stars long ago—while spirals have a bluish tinge, a sign of recent star formation.

A few years ago, researchers found that in the universe today, these two populations divide sharply by weight. An analysis of the Sloan Digital Sky Survey, which has recorded about 1 million nearby galaxies of the northern sky, revealed that the "red and dead" ellipticals nearly always tip the scales at masses greater than the Milky Way, while the star-forming spirals fall below that weight. Somehow, star birth was systematically and dramatically quenched in the big guys but proceeded unimpeded in the spiral small-fry.

The puzzle deepened in 2005 when Sandy Faber of the University of California, Santa Cruz, and her colleagues announced that they found the same galactic dichotomy when the universe was 7 billion years old, half its current age.
Our Milky Way galaxy's mass is 1.6 ± 0.5 × 10^11 M⊙ with a disk's characteristic radius of R(d)=17 kpc. Francesco Sylos Labini, et al., "Mass models of the Milky Way and estimation of its mass from the GAIA DR3 data-set" arXiv:2302.01379 (February 2, 2023) (accepted for publication in The Astrophysical Journal).

A new kind of galaxy (ultra diffuse low surface brightness galaxies) were discovered about a decade ago when new kinds of telescopes made it possible to see them. Chris Mihos, Patrick R. Durrell, Laura Ferrarese, John J. Feldmeier, Patrick Côté, Eric W. Peng, Paul Harding, Chengze Liu, Stephen Gwyn, and Jean-Charles Cuillandre "Galaxies at the extremes: Ultra-diffuse galaxies in the Virgo Cluster" (July 24, 2015) (published in ApJ Letters).
Most galaxies have a total mass between  
~ 107 M⊙ and 1012 M⊙. They range in size from a few kiloparsecs, to over one hundred kiloparsecs in diameter. Our own Milky Way contains over 100 billion stars, including our Sun, and the stellar disk extends to about 50 kpc in diameter. The spherical stellar halo extends up to 100 kpc. . . .  
Galaxies are classified according to how they appear . . . the most common classification scheme in use today is the Hubble classification scheme. Galaxies can be classified into the following broad categories, although there are many sub-catagories within each classification:   
EllipticalSpiralIrregular, and Dwarf galaxies.
(Source for quote above. A kiloparsec is about 3,262 light years. M⊙ is the mass of our Sun.)

The largest galaxies that have been observed are

elliptical galaxies with masses up to about 1013 M⊙.

Another category of galaxies is the lenticular galaxy type:
A lenticular galaxy (denoted S0) is a type of galaxy intermediate between an elliptical (denoted E) and a spiral galaxy in galaxy morphological classification schemes. It contains a large-scale disc but does not have large-scale spiral arms. Lenticular galaxies are disc galaxies that have used up or lost most of their interstellar matter and therefore have very little ongoing star formation. They may, however, retain significant dust in their disks. As a result, they consist mainly of aging stars (like elliptical galaxies). Despite the morphological differences, lenticular and elliptical galaxies share common properties like spectral features and scaling relations. Both can be considered early-type galaxies that are passively evolving, at least in the local part of the Universe.

The mix of galaxy types is as follows:
  • 10% elliptical.
  • 20% S0 (lenticular)
  • 60% spiral.
  • 10% irregular or peculiar.

Trends Regarding Relative Ordinary Matter And Inferred DM

Spiral galaxies have smaller proportions of ordinary matter than elliptical galaxies in same sized inferred dark matter (DM) halos.

We make an inventory of the baryonic and gravitating mass in structures ranging from the smallest galaxies to rich clusters of galaxies. We find that the fraction of baryons converted to stars reaches a maximum between M500 = 1E12 and 1E13 Msun, suggesting that star formation is most efficient in bright galaxies in groups. The fraction of baryons detected in all forms deviates monotonically from the cosmic baryon fraction as a function of mass. On the largest scales of clusters, most of the expected baryons are detected, while in the smallest dwarf galaxies, fewer than 1% are detected. Where these missing baryons reside is unclear.

Stacy S. McGaugh, James M. Schombert, W.J.G. de Blok, Matthew J. Zagursky, "The Baryon Content of Cosmic Structures" (November 13, 2009) arXiv:0911.2700 (published in ApJ Lettters).

[A]t equal luminosity, flattened medium-size elliptical galaxies are on average five times heavier than rounder ones, and . . . the non-baryonic matter content of medium-size round galaxies is small. 
A. Deur, "A correlation between the dark content of elliptical galaxies and their ellipticity" arXiv:2010.06692 (October 13, 2020) (the paper details the analysis of the results published in MNRAS 438, 2, 1535 (2014) reporting an empirical correlation between the ellipticity of elliptical galaxies and their dark matter content).

One of the original predictions of MOND in 1983 was that low surface brightness dwarf galaxies would have proportionately high levels of inferred dark matter where the external field effect was not present and almost no inferred dark matter where the external field effect is present. Data collected since then has proved to be consistent with this prediction. This was not predicted by dark matter models at the time.

Similarly, one of the predictions of MOND is the ultra compact dwarf galaxies will have no apparent dark matter and will behave as Newtonian dynamics predict. In contrast, traditional dark matter theory doesn't definitively predict any particular result for any class of galaxies. Once again, the MOND prediction has been proven correct.
Also, any of the papers that clearly demonstrates MOND performs better with Tully-Fisher relation?
MOND is mathematically equivalent to the baryonic Tully-Fischer relation, and that phenomenological scaling rule is a very good fit to the data. As explained in the articles below, dark matter particle theories struggle greatly to reproduce the baryonic Tully-Fischer relation which is observed in Nature.

Stacy McGaugh, et al., "The Baryonic Tully-Fisher Relation in the Local Group and the Equivalent Circular Velocity of Pressure Supported Dwarfs" arXiv:2109.03251 (September 7, 2021) (Accepted for publication in the Astronomical Journal).

Anastasia A. Ponomareva, et al. "MIGHTEE-HI: The baryonic Tully-Fisher relation over the last billion yearsarXiv:2109.04992 (September 10, 2021) (accepted for publication in MNRAS).

Hengxing Pan, et al., "Measuring the baryonic Tully-Fisher relation below the detection thresholdarXiv:2109.04273 (September 9, 2021) (Accepted for publication in MNRAS).
We carry out a test of the radial acceleration relation (RAR) for a sample of 10 dynamically relaxed and cool-core galaxy clusters imaged by the Chandra X-ray telescope, which was studied in Giles et al. For this sample, we observe that the best-fit RAR shows a very tight residual scatter equal to 0.09 dex. We obtain an acceleration scale of 1.59×10^−9m/s^2, which is about an order of magnitude higher than that obtained for galaxies.  Furthermore, the best-fit RAR parameters differ from those estimated from some of the previously analyzed cluster samples, which indicates that the acceleration scale found from the RAR could be of an emergent nature, instead of a fundamental universal scale.
S. Pradyumna, Shantanu Desai, "A test of Radial Acceleration Relation for the Giles et al Chandra cluster sample" arXiv:2107.05845 33 Physics of the Dark Universe 100854 (July 13, 2021). DOI: 10.1016/j.dark.2021.100854

Antonino Del Popolo, "SPARC HSBs, and LSBs, the surface density of dark matter haloes, and MOND" arXiv:2303.16658 (March 29, 2023) (Physics of the Dark Universe Volume 40, May 2023, 101203) (comparing an assumption of constant surface density of dark matter with MOND without proposing a mechanism for dark matter to have constant surface density).
The more we go deep into the knowledge of the dark component which embeds the stellar component of galaxies, the more we realize the profound interconnection between them. We show that the scaling laws among the structural properties of the dark and luminous matter in galaxies are too complex to derive from two inert components that just share the same gravitational field.  In this paper we review the 30 years old paradigm of collisionless dark matter in galaxies. We found that their dynamical properties show strong indications that the dark and luminous components have interacted in a more direct way over a Hubble Time. The proofs for this are the presence of central cored regions with constant DM density in which their size is related with the disk length scales. Moreover we find that the quantity ρDM(r,L,RD)ρ⋆(r,L,RD) shows, in all objects, peculiarities very hardly explained in a collisionless DM scenario.
Paolo Salucci and Nicola Turini, "Evidences for Collisional Dark Matter In Galaxies?" (July 4, 2017).
The distribution of the non-luminous matter in galaxies of different luminosity and Hubble type is much more than a proof of the existence of dark particles governing the structures of the Universe. Here, we will review the complex but well-ordered scenario of the properties of the dark halos also in relation with those of the baryonic components they host. Moreover, we will present a number of tight and unexpected correlations between selected properties of the dark and the luminous matter. Such entanglement evolves across the varying properties of the luminous component and it seems to unequivocally lead to a dark particle able to interact with the Standard Model particles over cosmological times. This review will also focus on whether we need a paradigm shift, from pure collisionless dark particles emerging from "first principles", to particles that we can discover only by looking to how they have designed the structure of the galaxies.
Paolo Salucci, "The distribution of dark matter in galaxies" (November 21, 2018) (60 pages, 28 Figures ~220 refs. Invited review for The Astronomy and Astrophysics Review).
Well known scaling laws among the structural properties of the dark and the luminous matter in disc systems are too complex to be arisen by two inert components that just share the same  gravitational field.  This brings us to critically focus on the 30-year-old paradigm, that, resting on a priori knowledge of the nature of Dark Matter (DM), has led us to a restricted number of scenarios, especially favouring the collisionless Λ Cold Dark Matter one. Motivated by such observational evidence, we propose to resolve the dark matter mystery by following a new Paradigm: the nature of DM must be guessed/derived by deeply analyzing the properties of the dark and luminous mass distribution at galactic scales. The immediate application of this paradigm leads us to propose the existence of a direct interaction between Dark and Standard Model particles, which has finely shaped the inner regions of galaxies.
Paolo Salucci, Nicola Turini, Chiara Di Paolo, "Paradigms and Scenarios for the Dark Matter Phenomenon" arXiv:2008.04052 (August 10, 2020).
We find that, at outer parts for a typical galaxy, the rotation curve calculated with our fitted density profile is much lower than observations and those based on simulations, including the NFW profile. This again verifies and strengthen the conclusions in our previous works: in ΛCDM paradigm, it is difficult to reconcile the contradictions between the observations for rotation curves and strong gravitational lensing.
Lin Wang, Da-Ming Chen, Ran Li "The total density profile of DM halos fitted from strong lensing" (July 31, 2017). As the body text of this paper explains:
It is now well established that, whatever the manners the baryon effects are included in the collisionless CDM N-body cosmological simulations, if the resultant density profiles can match the observations of rotation curves, they cannot simultaneously predict the observations of strong gravitational lensing (under- or over-predict). And for the case of typical galaxies, the reverse is also true, namely, the SIS profile preferred by strong lensing cannot be supported by the observations of rotation curves near the centers of galaxies.
Dark matter distributions closely track baryon distributions, even though there is no viable mechanism to do so. Edo van Uitert, et al., "Halo ellipticity of GAMA galaxy groups from KiDS weak lensing" (October 13, 2016).
[T]he literature is littered with failed attempts to reproduce the Tully-Fisher relation in a cold dark matter-dominated universe. Direct galaxy formation simulations, for example, have for many years consistently produced galaxies so massive and compact that their rotation curves were steeply declining and, generally, a poor match to observation. Even semi-analytic models, where galaxy masses and sizes can be adjusted to match observation, have had difficulty reproducing the Tully-Fisher relation, typically predicting velocities at given mass that are significantly higher than observed unless somewhat arbitrary adjustments are made to the response of the dark halo.
L.V. Sales, et al., "The low-mass end of the baryonic Tully-Fisher relation" (February 5, 2016). This paper manages to simulate the Tully-Fisher relation only with a model that has sixteen parameters carefully "calibrated to match the observed galaxy stellar mass function and the sizes of galaxies at z = 0" and "chosen to resemble the surroundings of the Local Group of Galaxies", however, and still struggles to reproduce the one parameter fits of the MOND toy-model from three decades ago. Any data set can be described by almost any model so long as it has enough adjustable parameters.

Dark matter can't explain bulge formation in galaxies. Alyson M. Brooks, Charlotte R. Christensen, "Bulge Formation via Mergers in Cosmological Simulations" (12 Nov 2015).
Evidence that Cold Dark Matter (ΛCDM), CDM+ baryons and its proposed tailored cures do not work in galaxies is staggering, and the CDM wimps (DM particles heavier than 1 GeV) are strongly  disfavoured combining theory with galaxy astronomical observations.
P.L. Biermann, H.J. de Vega, N.G. Sanchez, "Highlights and Conclusions of the Chalonge Meudon workshop 2012: warm dark matter galaxy formation in agreement with observations" arXiv:1305.7452v2 (June 26, 2013) (from the body text at https://arxiv.org/pdf/1305.7452v2.pdf).

The body text of the following article explains:
Dwarf galaxy rotation curves are challenging to reproduce in the standard Lambda Cold Dark Matter (LCDM) cosmogony. In some galaxies, rotation speeds rise rapidly to their maximum value, consistent with the circular velocity curves expected of cuspy LCDM halos. In others, however, rotation speeds rise more slowly, revealing large “inner mass deficits” or “cores” when compared with LCDM halos (e.g., de Blok 2010).  This diversity is unexpected in LCDM, where, in the absence of modifications by baryons, circular velocity curves are expected to be  simple, self-similar functions of the total halo mass (Navarro et al. 1996b, 1997; Oman et al. 2015). . . . the relation between baryon surface density and rotation curve shape is quite weak in the dwarf galaxy regime, and thus unlikely to drive the diversity. . . . Our results do show, in agreement with earlier work, that SIDM leads to a wide distribution of rotation curve shapes. However they also highlight the fact that outliers, be they large cores or cuspy systems, are not readily accounted for in this scenario, an issue that was also raised by Creasey et al. (2017). Whether this is a critical flaw of the SIDM scenario, or just signals the need for further elaboration, is still unclear. We end by noting that the rather peculiar relation between inner baryon dominance and rotation curve shapes could be naturally explained if non-circular motions were a driving cause of the diversity. For this scenario to succeed, however, it would need to explain why such motions affect solely low surface brightness galaxies, the systems where the evidence for “cores” is most compelling. . . . Until then, we would argue that the dwarf  galaxy rotation curve diversity problem remains, for the time being, open.

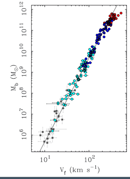
The image below is a plot of the Tully-Fischer scaling law (shown by the solid line) against the galaxy mass and rotation speed data points (in some cases, with one standard deviation error bars shown). The chart spans

six orders of magnitude, from 106 solar masses at the bottom (about the mass of Sgr A*, the black hole at the center of the Milky Way galaxy, which has an event horizon radius of 0.126 millionth of a light year) 

to 1012 solar masses (very massive galaxies), which is the entire range of observed galaxy sizes.

The colors reflect different galaxy types (dark blue points are star dominated galaxies; light blue points are galaxies with more mass in gas than in stars; the red points are very massive “super” spirals; gray squares are Local Group dwarfs):

1690227021065.png

(Source for image). The fall off outliers in the super spirals may be related to an issue related to how the rotation velocity should be measured in these galaxies.